Last Message ID: 81917
Pessoal, a Ambev criou um algoritmo de IA para monitorar e evitar acidentes de trabalho, achei bem interessante, olha aqui:
| cervejaria-ambev/safety: Safety Algorithm is an AI approach developed by Ambev to have a safer environment and avoid incidents on our plants. |
|---|
Se você não se importar de ser em R, tem esse livro aqui:
| Forecasting: Principles and Practice | ![]() |
|---|
| AI in Latin America: Announcing our first international office in Colombia |
|---|
Esse tutorial é bem legal:
| Working With Text Data — scikit-learn 0.21.3 documentation |
|---|
| Thales Nogueira on Twitter | ![]() |
|---|
pra quem não conhece esse bot:
| Telegram: Contact @rextester | ![]() |
|---|
Last Message ID: 81797
| Data Science Repo - Machine Learning, Stats, etc |
|---|
| 19° PyData Brasília - 23/08/2019 - UnB | ![]() |
|---|
| III Meetup PyData Manaus | ![]() |
|---|
| Telegram: Contact @GeotecnologiasBR | ![]() |
|---|
| Free Data Science and Machine Learning Resources | ![]() |
|---|
Dê uma olhada no método resample do Pandas, só precisa ter seu índice como datetime:
| pandas.DataFrame.resample — pandas 0.25.0 documentation |
|---|
No user guide:
| date functionality — pandas 0.25.0 documentation |
|---|
Vamos lá, pessoal?
| Unsupported Operating System |
|---|
fala, pessoal. a quem interessar: post que fiz que conta com web scraping de reclamações do Reclame Aqui e visualização dos textos das descrições.
| Web Scraping de páginas dinâmicas com Python · Phelipe |
|---|
| Rodrigo Menegat on Twitter | ![]() |
|---|
Last Message ID: 81690
| Data Science Pioneers Trailer - Coming Winter 2019 |
|---|
| PyData on Twitter | ![]() |
|---|
| Over 200 of the Best Machine Learning, NLP, and Python Tutorials — 2018 Edition | ![]() |
|---|
| data-science/README.md at master · ossu/data-science · GitHub |
|---|
Last Message ID: 81586
| Deep Learning Tutorial with Python | Machine Learning with Neural Networks [Top Udemy Instructor] | 
| Data Science, Past & Future | ![]() |
|---|
Last Message ID: 81561
Esse cara tá usando regex, pelo que rapidamente. Mas ele desenvolveu uma função pra remover os emojis.
| Getting started with Text Preprocessing |
|---|
| 17° PyData Brasília - 25/06/2019 - CAIXA - Talk 2 - Parte 3 | ![]() |
|---|
| Ambev torna open source algoritmo de projeto de inteligência artificial | ![]() |
|---|
Last Message ID: 81529
| Difference Between OLTP and OLAP (with Comparison Chart) | ![]() |
|---|
| New State of the Art AI Optimizer: Rectified Adam (RAdam). Improve your AI accuracy instantly versus Adam, and why it works. | ![]() |
|---|
já olhou nesse site
| Be awesome at OpenCV, Python, deep learning, and computer vision |
|---|
Não sei se entendi direito, será que esse video ajudaria?
| How To Train an Object Detection Classifier Using TensorFlow 1.5 (GPU) on Windows 10 | ![]() |
|---|
| Adriano Meirinho | ![]() |
|---|
Last Message ID: 81416
Gente, oportunidade super legal pra trabalhar com pesquisa Data for Good em Portugal!
Quem quiser conhecer mais sobre o mundo de impacto social e dados pode me escrever que eu adiciono no grupo "Data for Good". 😊
| eracareers |
|---|
| Rules of Machine Learning: | ![]() |
|---|
| Linhas de Pesquisa | ![]() |
|---|
Last Message ID: 81317
| Choosing the right estimator — scikit-learn 0.21.3 documentation |
|---|
Pessoal, divulgando evento que vai acontecer em Brasília/UnB de 27 a 29/11/2019 - III Workshop de Informação, Dados e Tecnologia. Chamada para submissão de trabalhar aberta até dia 15/09.
| WIDaT 2019 | ![]() |
|---|
| Data Science Academy | ![]() |
|---|
| pandas converting a float remove exponents |
|---|
| Dealing with Non-normal Data: Strategies and Tools |
|---|
Last Message ID: 81192
| SkalskiP/make-sense: Free to use online tool for labelling photos. https://makesense.ai |
|---|
| pergunta rh animal voce e |
|---|
Quem quiser comprar um voucher pra essa certificação vendo metade do preço Eu não posso fazer eh apenas presencial
| Certificações do Google Cloud |
|---|
Além disso, fazendo uso do py-lexml-acervo disponibilizei um dataset contendo os metadados dos documentos publicados entre os anos de 1556 a 2019. O dataset possui aproximadamente 2GB compactado, e descompacto em torno de 10GB.
| LexML Brasil @ Acervo | ![]() |
|---|
| How to Learn Python for Data Science In 5 Steps – Dataquest | ![]() |
|---|
Last Message ID: 81102
https://www.meetup.com/Garoa-Hacker-Clube/events/nptzfryzlbqb
| Aumentativo de Helena on Twitter | ![]() |
|---|
| Controlling the Car and getting Camera Sensor Data - Self-driving cars with Carla and Python p.2 | ![]() |
|---|
| Kevin Markham on Twitter | ![]() |
|---|
| This Superhuman Poker AI Was Trained in 20 Hours | ![]() |
|---|
| Getting started with conda — conda 4.7.11.post8+5ea3e1d6 documentation | ![]() |
|---|
| Telegram: Contact @djangobrasil | ![]() |
|---|
Last Message ID: 81016
| 10 Books to Learn Machine Learning | ![]() |
|---|
| Hadoop: How Can it Help Your Business Manage Big Data? | ![]() |
|---|
| Make Money with Machine Learning | ![]() |
|---|
| 3Blue1Brown |
|---|
| Over 200 of the Best Machine Learning, NLP, and Python Tutorials — 2018 Edition | ![]() |
|---|
Last Message ID: 80963
“The first day at DS101” di Leonardo Bezerra
| https://link.medium.com/oCGr1muv2Y |
|---|
Gosto desse site hehe https://sixsigmafails.com
Last Message ID: 80915
| Python para visualizacao de dados Plotly e Cufflinks at master · IgoPereiraBarros/data-science-and-machine-learning · GitHub |
|---|
| Programming Autonomous self-driving cars with Carla and Python | ![]() |
|---|
Colegas, gostaria de compartilhar o relatório que fizemos aqui na Transparência Brasil com dados do uso de app pelos servidores da Prefeitura de São Paulo:
| Relatório: irregularidades no uso de app de transporte na Prefeitura de São Paulo |
|---|
É o invert_axis
| Reverse Y-Axis in PyPlot |
|---|
| Peter Wang on Twitter | ![]() |
|---|
| AI Ethics Still In Its Infancy | ![]() |
|---|
| AI TabNine writes code per programmer | ![]() |
|---|
Last Message ID: 80798
| Siraj Raval |
|---|
Esse texto é incrível!
| Sou uma cientista de dados cética quanto aos dados | ![]() |
|---|
| Anti Captcha: captcha solving service. Bypass reCAPTCHA, FunCaptcha, image captcha. | ![]() |
|---|
| ogol.com.br :: Tudo sobre futebol |
|---|
| leportella/datascience-pizza: 🍕 Repositório para juntar informações sobre materiais de estudo em análise de dados e áreas afins, empresas que trabalham com dados e dicionário de conceitos |
|---|
Last Message ID: 80690
| pandas.DataFrame.merge — pandas 0.25.0 documentation |
|---|
| Separando um dataframe por algum criterio - Python Pandas |
|---|
| Telegram: Contact @GeotecnologiasBR | ![]() |
|---|
| Telegram: Contact @pythonbr | ![]() |
|---|
| Telegram: Contact @DataScienceComR | ![]() |
|---|
| Telegram: Join Group Chat | ![]() |
|---|
| Python Libraries for Interpretable Machine Learning | ![]() |
|---|
| Análises de dados com grafos e Intro ao Elasticsearch @ CargoX | ![]() |
|---|
| Beau Walker on LinkedIn: "Don't hire an experienced data scientist if: (1) you aren't ready to shift from Excel and rule-based approaches; (2) you're afraid of "black box" models or methods you don't |
|---|
Last Message ID: 80615
Tem sido um tema frequente nos pydata, da uma pesquisada por "pydata production", vai achar palestras como
| Monitoring models in production - Jannes Klaas | ![]() |
|---|
| Telegram: Contact @LGPD | ![]() |
|---|
| Example of Elasticsearch scrolling using Python client | ![]() |
|---|
Last Message ID: 80475
Tem o curso do rafael ( Mas talvez seja meio basico pra vc. Ainda assim pode servir pra alguem q esteja começando.
Tem o da microsoft tb ( Apesar de eu, particularmente, não gostar do power bi, fiz um curso de dataviz da ms ha varios anos e achei bem legal (se brincar era o mesmo desse, mas uma versão anterior). E os conceitos se aplicam a todas as ferramentas de dashboard... ; )
| Courses.) |
|---|
| What Are Data Visualization Style Guidelines? | ![]() |
|---|
| Data Science Academy | ![]() |
|---|
Erik Marsja: How to Make a Scatter Plot in Python using Seaborn
| How to Make a Scatter Plot in Python using Seaborn - | ![]() |
|---|
Last Message ID: 80386
Alguém consegue dar uma olhada nesse curso aqui e me dizer se tem tudo que preciso pra iniciar como data analyst?
| Directory – Dataquest | ![]() |
|---|
o Eduardo do tem gravado
| Telegram: Contact @livepython | ![]() |
|---|
| Adrian Rosebrock on Twitter | ![]() |
|---|
Last Message ID: 80315
| a GUI for pandas dataframes. Stop googling pandas commands |
|---|
| XLNET explained in simple terms !! | ![]() |
|---|
| High-Performance Pandas: eval() and query() |
|---|
Episódio bem legal, principalmente a parte que é falado das tretas, suspeitas, plágio e funcionários fakes de uma academia brasileira de Data Science que é famosa por seus cursos online.
| As maiores tretas e polêmicas no mundo de Dados — Data Hackers Podcast 13 |
|---|
Last Message ID: 80186
Trabalho muito criativo da equipe de #dataviz da Bloomberg com a transcrição do debate dos democratas.
| Are you a robot? |
|---|
| Telegram: Join Group Chat | ![]() |
|---|
Galera bom dia, alguém tem interesse em entrar pra nossa equipe pra implementarmos uma I.A. nesse projeto?
Objetivo: Versão 4 - identificação de objetos e faces com aprendizado Versão 5 - IoT conectando ele com os cuidadores, hospital e etc
| ÓCULOS COM RECONHECIMENTO FACIAL PARA DEFICIENTE VISUAL | ![]() |
|---|
| Gesonel, o mestre dos disfarces on Twitter |
|---|
Terça-feira dia 6/8, às 20:00 vai haver um meetup no formato webinar da Impulso. Na oportunidade falarei sobre o uso do R para comunicar finanças públicas nacionais. Segue link para inscrição:
| [Impulso Meetup] Utilizando R para comunicar finanças públicas nacionais |
|---|
| Portal da Indústria |
|---|
| Quadros Societários e de Administradores das Pessoas Jurídicas (QSA), separados por UF |
|---|
Last Message ID: 80113
| UOL cria e distribui código gratuito para identificar cidades brasileiras | ![]() |
|---|
Mande sua talk por aqui:
| Machine Learning e Introdução a Python |
|---|
Eu já penso contrário, pois esse curso parece promissor. Na grade parece uma expansão de outros cursos em Curitiba e alguns pontos que eles oferecem são tratados de modo independente tal como SQL, API's e tratamento dos dados. Além disso, se os instrutores forem realmente aqueles anunciados seria um ponto interessante dado que, por exemplo, sempre tem vaga na ebanx ou madeira, madeira. Ainda assim, tentaria considerar possibilidade de fazer curso na UFPR. Um ponto negligenciado pelo curso é que eles ofertam em 5 meses e na UFPR leva 1 ano e meio. Todavia, se você quer realmente aprofundar no assunto e entender o que está fazendo estudar os assuntos em tempo cabível pode ser interessante para seu aprendizado (embora 1 e meio também não sei se é suficiente). Sem mencionar que as disciplinas de cálculo e álgebra linear são importantes (isso tem na UFPR). Enfim, eu faria curso se não tivesse outra opção. Se gostar da opção da UFPR é ofertado pelos professores de matemática, estatística e computação, da UFPR. Segue:
| http://dsbd.leg.ufpr.br |
|---|
ENESTE (Encontro Nacional dos Estudantes de Estatística):
| ENESTE (Encontro Nacional dos Estudantes de Estatística) | ![]() |
|---|
só pra completar a reposta do Fabricio:
| Change data type of columns in Pandas |
|---|
Last Message ID: 79970
| leportella/datascience-pizza: 🍕 Repositório para juntar informações sobre materiais de estudo em análise de dados e áreas afins, empresas que trabalham com dados e dicionário de conceitos |
|---|
| Uninstalling Anaconda — Anaconda 2.0 documentation |
|---|
| Keyboard Attack | ![]() |
|---|
| Humble Book Bundle: Data Analysis & Machine Learning by O'Reilly | ![]() |
|---|
Dados geoespacializados são uma incrível fonte de informação. Todavia, a depender de como são apresentados podem contar histórias completamente diferentes. Vem conferir o post!
| dados: como classificá-los? |
|---|
| Visão Geral e Estudo de Caso com o Azure Machine Learning 💎 | ![]() |
|---|
Last Message ID: 79832
Eu fiz um texto sobre isso:
| Opinião: Nanodegree de Eng. de Machine Learning | ![]() |
|---|
Talvez esse post te ajude:
| Como definir o número de clusters para o seu KMeans | ![]() |
|---|
pergunte direto para quem sabe
| Issues · mdbartos |
|---|
| Top 20+ Ferramentas de Big Data para Cientistas de Dados (programadores ou não!) | ![]() |
|---|
| Python Para Análise de Dados: Tratamento de Dados com Pandas, NumPy e IPython: Wes McKinney, Lúcia A. Kinoshita: Amazon.com.br: Livros | ![]() |
|---|
Mãos à Obra. Aprendizado de Máquina com Scikit-Learn e Tensorflow: Aprendizado de Máquina com Scikit-Learn & TensorFlow
| Mãos à Obra. Aprendizado de Máquina com Scikit-Learn e Tensorflow: Aprendizado de Máquina com Scikit-Learn & TensorFlow | ![]() |
|---|
| meta.yaml at master · msmbuilder |
|---|
| Fundamentos de Ciência de Dados em Python | ![]() |
|---|
| Igor Alcantara |
|---|
| Fernando Masanori 足利 on Twitter | ![]() |
|---|
| How to make simple endpoints with Django using Restless |
|---|
| Anti-Spam free Telegram bot for you groups |
|---|
| Telegram: Contact @join | ![]() |
|---|
| Oiiii, boa noite! A gente está passando... - Cidacs - Fiocruz | ![]() |
|---|
Last Message ID: 79684
Dá uma olhada na parte de grouping
| Pandas Tutorial 2: Aggregation and Grouping | ![]() |
|---|
| table — pandas 0.25.0 documentation |
|---|
Labdata FIA
| Labdata FIA |
|---|
| Humble Book Bundle: Data Analysis & Machine Learning by O'Reilly | ![]() |
|---|
| Curso de Data Science - Awari | ![]() |
|---|
| How to Write Multiple Data Frames in an Excel Sheet |
|---|
Last Message ID: 79564
Pesquisa sobre o uso de dados abertos governamentais no Brasil - não vai demorar mais que 2 minutinhos.
| Pesquisa sobre o uso de dados abertos governamentais no Brasil |
|---|
| duplicates — pandas 0.25.0 documentation |
|---|
Last Message ID: 79538
| Ana Paula Mendes on Twitter | ![]() |
|---|
| Pizza de Dados |
|---|
| leportella/datascience-pizza: 🍕 Repositório para juntar informações sobre materiais de estudo em análise de dados e áreas afins, empresas que trabalham com dados e dicionário de conceitos |
|---|
Last Message ID: 79514
| okfn-brasil/serenata-de-amor: 🕵 Artificial Intelligence for social control of public administration |
|---|
| Create a Meetup Account |
|---|
| How I built a spreadsheet app with Python to make data science easier | ![]() |
|---|
Last Message ID: 79467
Chegou aula que você queria!! 😎 Como criar um mapa do Brasil (shapefile do IBGE) com o resultado do 2° Turno das Eleições 2018 (dadosabertos do TSE) usando python, pandas e geopandas. Acesse o canal do LabHackerCD no YouTube
| Análise de Dados em Python: Aula 04 | ![]() |
|---|
| https://www.linkedin.com/jobs/view/1382573142/?eBP=JOB_SEARCH_ORGANIC&recommendedFlavor=HIDDEN_GEM&refId=b3e839c8-f0e8-4370-90c2-f38401cf8be8&trk=d_flagship3_search_srp_jobs |
|---|
A equipe de desenvolvimento do Pandas está buscando novas mantenedoras do time.
| Marc Garcia on Twitter | ![]() |
|---|
| dsgiitr/d2l-pytorch: This is an attempt to modify Dive into Deep Learning, Berkeley STAT 157 (Spring 2019) textbook's code into PyTorch. |
|---|
| Sensor Biométrico Anti-Furto para moto - SmartID - Versão 1.0 | ![]() |
|---|
| Jupyter Notebook Viewer |
|---|
Last Message ID: 79174
| Data Science em Python | ![]() |
|---|
Last Message ID: 78929
| getimage.py | ![]() |
|---|
Se ajudar, coloquei no stack oveflow
| Match dos contornos |
|---|
Usa para tentar descobrir o encoding do arquivo
| chardet | ![]() |
|---|
Isso ta na documentação do random_forest(https://scikit-learn.org/stable/modules/generated/sklearn.ensemble.RandomForestClassifier.html):
random_state : int, RandomState instance or None, optional (default=None)
If int, random_state is the seed used by the random number generator; If RandomState instance, random_state is the random number generator; If None, the random number generator is the RandomState instance used by np.random.
Last Message ID: 78837
?
| Unable to import sqlite3 using Anaconda Python |
|---|
Se tiver tempo eu recomendo ver essa playlist daqui <
| Stanford CS224N: NLP with Deep Learning | Winter 2019 | Lecture 1 – Introduction and Word Vectors | 
| Telegram: Join Group Chat | ![]() |
|---|
Last Message ID: 78665
| An End to End Introduction to GANs | ![]() |
|---|
| zziz/pwc: Papers with code. Sorted by stars. Updated weekly. |
|---|
| https://link.medium.com/eCq1tQIyvY |
|---|
Last Message ID: 78644
| Malicious Python packages found on PyPI | ![]() |
|---|
| Uma AI treinada com artigos científicos antigos fez descobertas que os humanos perderam | ![]() |
|---|
Eu tenho
| eXplainable AI |
|---|
Se eu não me engano tem gente aqui no grupo que prefere escrever um medium. Eu uso meu site mais como meio de manter várias coisas sincronizadas e públicas pois acredito que algumas possam ser úteis. O setup com o Github Pages é bem fácil Basta criar um repositório e colocar lá que seu site já está no ar :)
| GitHub Pages |
|---|
Last Message ID: 78550
https://xlsxtojson.herokuapp.com/index.html
| The plan to mine the world’s research papers | ![]() |
|---|
| Introduction to PyTorch-Transformers with Python Implementation | ![]() |
|---|
Acho que você pode aproveitar algo daqui: https://github.com/tensorflow/models/tree/master/research/object_detection. A ideia seria fazer um transfer learning, treinando somente as últimas camadas da rede com os rostos que vc quer reconhecer. Depois vc poderia OpenCV Dnn para carregar os pesos da rede e fazer a tarefa de reconhecer os rostos.
| Como Precificar Um Projeto de Data Science, Machine Learning ou IA | ![]() |
|---|
Last Message ID: 78446
fala com o
| Telegram: Contact @pythonbr | ![]() |
|---|
| Day 1: Lightning Talks | PyData London 2019 | 
Se inglês não for problema para você, tem um essa referência que pode te ajudar a esclarecer.
| What are the differences between type() and isinstance()? |
|---|
outra referência
| Python: Objects comparison | ![]() |
|---|
Last Message ID: 78355
| elvis on Twitter | ![]() |
|---|
| Introducing the Plato Research Dialogue System: A Flexible Conversational AI Platform | ![]() |
|---|
Oi gente! Para o pessoal daqui que tem interesse em entender mais sobre como dados podem gerar impacto social e ambiental positivos na sociedade, estamos começando um grupo nacional para isso! Fiquem à vontade para participar:
| Telegram: Join Group Chat | ![]() |
|---|
| Autocompletion with deep learning |
|---|
| Domine a Biblioteca mais usada entre os Cientistas de Dados. 🐼 | ![]() |
|---|
| 17° PyData Brasília - 25/06/2019 - CAIXA - Abertura - Parte 1 | ![]() |
|---|
| 17° PyData Brasília - 25/06/2019 - CAIXA - Talk 1 - Parte 2 | ![]() |
|---|
| 17° PyData Brasília - 25/06/2019 - CAIXA - Talk 2 - Parte 3 | ![]() |
|---|
| 17° PyData Brasília - 25/06/2019 - CAIXA - Lighting Talks - Parte 4 | ![]() |
|---|
Pronto! vou seguir nessa direção. Estou usando o OpenCV com Tesseract-OCR do tutorial (
| Realizando Detecção de Placas através de Contornos (Exemplo parte 1/2)) | ) |
|---|
Pode ajudar:
| Point in polygon |
|---|
| Stanford NLP Group on Twitter | ![]() |
|---|
“From XML to Pandas dataframes” by Roberto Preste
| https://link.medium.com/PyTS3TKwpY |
|---|
| Elon Musk apresenta Neuralink, seu sistema que conecta mente e máquina | ![]() |
|---|
Last Message ID: 78277
| benedekrozemberczki/awesome-graph-classification: A collection of important graph embedding, classification and representation learning papers with implementations. |
|---|
Aqui tem um explicação intuitiva sobre LSTM focando como uma RNN funciona:
| A Beginner's Guide to LSTMs and Recurrent Neural Networks |
|---|
Se vc quiser algo na prática:
| Time Series Prediction with LSTM Recurrent Neural Networks in Python with Keras | ![]() |
|---|
| scrapinghub/price-parser: Extract price amount and currency symbol from a raw text string |
|---|
| Linha do Tempo do Racismo Algorítmico: casos, dados e reações | ![]() |
|---|
| Inscreva-se na 3ª Escola Avançada em Big Data Analysis | ![]() |
|---|
vc precisa minerar os dados como um data stream. Da uma olhada no . Salvo engano, mesmo o scikit-multiflow ainda esta bem cru, ou seja, voce vai acabar mexendo com Java ou scala.
| MOA | ![]() |
|---|
| Avoiding Webscraping Throttling Using Python and Tor as a Proxy | ![]() |
|---|
| Diogo Munaro Vieira on Twitter | ![]() |
|---|
Last Message ID: 78136
Caros, eu estou na Machine Learning Summer School 2019. As aulas estão sendo transmitidas ao vivo pelas próximas 2 semanas. Agenda e link:
| MLSS 2019 |
|---|
| 2º CyberSecurity Conference OWASP Brasília 2019 | ![]() |
|---|
| Matplotlib Tutorial (Part 1): Creating and Customizing Our First Plots | ![]() |
|---|
Last Message ID: 78093
Galera, inicia hoje a chamada de voluntários para o 2º CyberSecurity Conference by OWASP Brasília 2019 que acontecerá dia 21/09/2019 .... Segue link para a chamada de voluntários
| 2º CyberSecurity OWASP Conference 2019 |
|---|
Last Message ID: 78083
| Elements of Functional Programming in Python | ![]() |
|---|
| Aumentativo de Helena on Twitter | ![]() |
|---|
Last Message ID: 78028
| Computers Can Now Bluff Like a Poker Champ. Better, Actually. | ![]() |
|---|
| Tame the Beast by Matching Similar Strings |
|---|
| Minerando Dados › Data Cleaning com Similaridade de Strings em Python. | ![]() |
|---|
Fala Galera, compartilhando o repositório de Data Science que estamos montando, contribuam lá:
| sn3fru/datascience_course: Curso de Data Science em Português |
|---|
| Fuzzy matching at scale | ![]() |
|---|
| SPACY IRL 2019 | ![]() |
|---|
| Andreas Mueller on Twitter | ![]() |
|---|
| 1º Meetup Cielo de Data Science |
|---|
O pandas usa o pyarrow. Dá uma olhada em e no código fonte em
| parquet — pandas 0.24.2 documentation |
|---|
Last Message ID: 77892
É o que usei quando precisei mexer com várias abas.
| Using Pandas to pd.read_excel() for multiple worksheets of the same workbook |
|---|
| excel — pandas 0.24.2 documentation |
|---|
| Example: Pandas Excel with multiple dataframes — XlsxWriter Documentation | ![]() |
|---|
| How to Make a Twitter Bot in Python With Tweepy – Real Python | ![]() |
|---|
| Reconhecimento facial falha em segundo dia, e mulher inocente é confundida com criminosa já presa |
|---|
| Artificial Intelligence Set Loose On Old Scientific Papers Discovers Something Humans Missed | ![]() |
|---|
Last Message ID: 77788
| The Staggering Cost of Training SOTA AI Models | ![]() |
|---|
| Downloadable: Cheat Sheets for AI, Neural Networks, Machine Learning, Deep Learning & Data Science… | ![]() |
|---|
| Palavra vazia – Wikipédia, a enciclopédia livre | ![]() |
|---|
| stopwords-pt/stopwords-pt.txt at master · stopwords-iso/stopwords-pt · GitHub |
|---|
Pessoal, a Escola de Dados tá oferecendo um curso online e gratuito com o Knight Center sobre jornalismo de dados, divulguem aos possíveis interessados:
| Introdução ao jornalismo de dados: | ![]() |
|---|
| model persistence without pickles · Thiago Marzagão |
|---|
Rolando aulinha ao vivo do Minerando Dados, trabalhando com KNN
| Machine Learning na Prática com KNN | ![]() |
|---|
Last Message ID: 77591
| Deploying Machine Learning model in production | ![]() |
|---|
Bom dia, eu sempre pesquiso nesse:
| Contrate os melhores freelancers do Brasil | ![]() |
|---|
| A deep dive on Python type hints · Vicki Boykis |
|---|
| Valohai on Twitter | ![]() |
|---|
| oi.py |
|---|
| Data Analysis with Dr Mike Pound | ![]() |
|---|
Last Message ID: 77486
“Become a Pro at Pandas, Python’s data manipulation Library” by Julien Kervizic
| https://link.medium.com/VNTQf3RC9X |
|---|
| Info.xvideos.com |
|---|
| Analista Pleno Full Stack |
|---|
| Ler o arquivo json como pandas trama de dados? |
|---|
| Dúvida é possível ler um json pela chamada rest com pandas | ![]() |
|---|
| json — pandas 0.24.2 documentation |
|---|
| Rachel Thomas on Twitter | ![]() |
|---|
Comente na nossa foto e e nos ajude a bater a meta de 100 comentários ! 👊😎😁
| Campus Party Brasil on Instagram: “A Campus Party vai ser gigante! Não vemos a hora de descobrir e debater junto com vocês novas formas de se pensar e fazer tecnologia e…” | ![]() |
|---|
| Telegram: Join Group Chat | ![]() |
|---|
Last Message ID: 77251
| A survey on Image Data Augmentation for Deep Learning | ![]() |
|---|
| Python Web Scraping & Crawling using Scrapy | ![]() |
|---|
| Para iniciar em Data Science |
|---|
| 19 lugares para encontrar conjuntos de dados gratuitos para projetos de ciência de dados | ![]() |
|---|
Last Message ID: 77230
| 12 Things I Learned During My First Year as a Machine Learning Engineer | ![]() |
|---|
| weltonvaz/cursos: Cursos e apostilas gratuitos online de Python |
|---|
| Um tutorial completo para aprender Data Science com Python do zero | ![]() |
|---|
Last Message ID: 77061
| pandas.DataFrame.equals — pandas 0.24.2 documentation |
|---|
| ALFABETIZAÇÃO DOS DADOS ATRAVÉS DA EDUCAÇÃO DISRUPTIVA E DESOBEDIÊNCIA DOS PADRÕES ATUAIS! | ![]() |
|---|
| Quais APIs você sugere que o governo ofereça para acelerar o seu negócio? |
|---|
Assim: uma vez que vc levanta o servidor usando isso:
| Running a notebook server — Jupyter Notebook 5.7.8 documentation |
|---|
| SSH port forwarding - Example, command, server config |
|---|
| YouTube-8M: A Large and Diverse Labeled Video Dataset for Video Understanding Research | ![]() |
|---|
| Luis Felipe Monteiro on LinkedIn: "Quais dados de governo podem acelerar seu negócio? Você acredita que o governo, como plataforma, pode estimular o empreendedorismo e novos negócios disponibilizando |
|---|
Last Message ID: 76958
Você irá perder informação do usuário, não? Vê esse post em especial o segundo código. O PowerBI está reclamando por estar recebendo um XML mal formado, não?
| Safe Ampersand Parsing in XML Files | ![]() |
|---|
coloquei os códigos com comentários aqui dá uma olhada em como esse xml foi gerado, pois ele está sendo gerado incorretamente(o texto desses elementos não está sendo escapado, o escape(myxml) usado no segundo código do post que mandei)
| oi.py |
|---|
| Cursos Gratuitos-1 | ![]() |
|---|
| A Comprehensive State-Of-The-Art Image Recognition Tutorial |
|---|
| Impute Missing Values |
|---|
Last Message ID: 76711
| Minerando Dados › Análise de Sentimentos de uma forma diferente. | ![]() |
|---|
@delatorrea, tem acesso ao pip aí? Se sim, instala isso aqui
e tenta de novo com pd.DataFrame(flatten(data, reducer="path"))
| ianlini/flatten-dict: A flexible utility for flattening and unflattening dict-like objects in Python. |
|---|
Talvez seja um bom começo não fiz esse curso, fiz outros, e gostei bastante da plataforma
| Building Chatbots in Python |
|---|
Last Message ID: 76628
| Tesouro Nacional on Twitter | ![]() |
|---|
| ai-ds-sl-researchers-pesquisas-br/materiais-apoio |
|---|
Tem essa lista aqui.
| 20 Must-Attend Machine Learning Conferences in 2019 | ![]() |
|---|
Sobre big data (principalmente pra quem tá começando no mundo dos dados):
| Álvaro Justen on Twitter | ![]() |
|---|
| [groups'] = pd.cut(df.age, bins=[0, 18, 65, 99], labels=['child', 'adult', 'elderly']) 0 to 18 ➡️ 'child' 18 to 65 ➡️ 'adult' 65 to 99 ➡️ 'elderly' #Python #DataScience #pandas #pandastricks"](https://www.linkedin.com/feed/update/urn:li:activity:6551806785626394624) |
|---|
Last Message ID: 76521
| The BS-Industrial Complex of Phony A.I. | ![]() |
|---|
| Mineração de Emoção em Textos com Python e NLTK | ![]() |
|---|
| Sheets |
|---|
| pandas.DataFrame — pandas 0.24.2 documentation |
|---|
| Kite | ![]() |
|---|
| Quick Visualization + EDA |
|---|
O primeiro é um story-telling que mostra diversos aspectos da contabilidade do setor público trazidos para uma linguagem mais cidadã. O ponto forte é a análise das contas públicas sob o corte das funções. Que esfera de poder cuida de que função e sua evolução no tempo. https://www.tesourotransparente.gov.br/historias/bspn
O segundo produto é um dashboard que permite uma série de análises de indicadores contábeis tanto num corte hierárquico das contas (vertical) como de séries temporais (horizontal). Os indicadores para chamar de seu, são criados dinamicamente. https://www.tesourotransparente.gov.br/visualizacao/bspn-2017-interativo
| 10 mitos sobre a universidade pública no Brasil | ![]() |
|---|
Last Message ID: 76381
| Battle of the Boosting Algorithms | ![]() |
|---|
Last Message ID: 76349
Mas inseri no pastebin
| [Python] Estatisticas lotofacil | ![]() |
|---|
Last Message ID: 76311
| fran on Twitter | ![]() |
|---|
| Andrew Ng on Twitter | ![]() |
|---|
| Jeremy Howard on Twitter | ![]() |
|---|
| Avaliação de Políticas Públicas | ![]() |
|---|
Last Message ID: 76210
O Desafio convida os participantes a contribuir para o desenvolvimento da infraestrutura digital voltada para pesquisa no Brasil. Esta é uma ação da Rede Nacional de Ensino e Pesquisa (RNP).
O foco do concurso é o desenvolvimento de soluções que permitam a importação dos dados do International Standard Book Number (ISBN) para a Plataforma Sucupira, acabando com a necessidade de preenchimento manual dessas informações pelos programas de pós-graduação, a fim de melhorar o processo de avaliação e a classificação da produção intelectual da pós-graduação brasileira.
Quaisquer dúvidas e informações complementares sobre o Desafio poderão ser enviadas exclusivamente para o endereço eletrônico desafioppgs@rnp.br.
| Desafios Iniciativas PPGS |
|---|
Last Message ID: 76090
Recorri a uma solução do mas tou achando o resultado meio estranho
| Getting polygon areas using geopandas? |
|---|
| romeritomorais/jupyter-funcoes: Função para fazer a conexão com o banco de dados MSSQL |
|---|
| R Map Plot |
|---|
| A Visual Intro to NumPy and Data Representation |
|---|
ah, acho que você vai ter que criar o DataFrame... há uma lib que tenta aproximar o scikit-learn(que vai trabalhar com arrays numpy, que é o que ele retornou) e o pandas:
| scikit-learn-contrib/sklearn-pandas: Pandas integration with sklearn |
|---|
Last Message ID: 75933
| Mykola Kozyr on Twitter | ![]() |
|---|
| Vincent D. Warmerdam on Twitter | ![]() |
|---|
From Discover on Google
| Neural network vaccinations protect against hacking | ![]() |
|---|
Atenção, mulheres de São Paulo e região que curtem #Python! Tem oportunidade com bolsas integrais para se capacitar nesta tecnologia na Codenation! As inscrições para concorrer a uma das bolsas encerram no próximo domingo (30/06) e podem ser feitas através do site:
| Codenation: acelerando a carreira de quem acelera o mundo | ![]() |
|---|
| Analista Junior de dados |
|---|
| Keynote: Using Data Science to Recruit Data Scientists - Maryam Jahanshahi | ![]() |
|---|
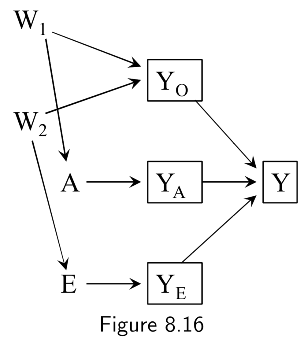
| All the DAGs from Hernan and Robins' Causal Inference Book | ![]() |
|---|
| Shan He on Twitter | ![]() |
|---|
Se quiser, eu fiz um texto só sobre as ferramentas e eu explico um pouco melhor sobre isso:
| As principais ferramentas de desenvolvimento em ciência de dados | ![]() |
|---|
| Meetup PyData | ![]() |
|---|
Boa noite, se alguem se interessar por BioPython estou escrevendo tutoriais
| Floripa Code Gurus |
|---|
Boa noite, se alguem se interessar por BioPython, estou escrevendo tutoriais sobre o assunto.
| Floripa Code Gurus |
|---|
Link da palestra do Helberth sobre Luigi
| Luigi no mundo real - PyDataBH |
|---|
| Como a inteligência artificial pode ajudar a combater mudanças climáticas | ![]() |
|---|
Last Message ID: 75830
| Pieter Abbeel on Twitter | ![]() |
|---|
No caso você tem passar a palavra que deseja pesquisa no paramentro.
| Using standard search |
|---|
Fiz umas besterinhas um tempo atras usando a API, da uma olhada ai:
| IgoPereiraBarros/Twitter-API |
|---|
| Plotting with categorical data — seaborn 0.9.0 documentation |
|---|
| https://colab.research.google.com/drive/1oYDwV52yLTCCbBZ7Vr5pS6A3X49TJNwP |
|---|
| Neural Style Transfer with Adversarially Robust Classifiers | ![]() |
|---|
| samirak93/Game-Animation: A python tool to visualise game animations |
|---|
| Analista Junior de dados |
|---|
Caros, mais um trabalho da parceria @BrownSantana, Tarssio, @tomasbarcellos, @Koselleck e @FBarbalho. Dessa vez explicamos como utilizar um aplicativo que desenvolvemos para apoiar a entrevista de dados.
| A #VazaJato no Twitter: entrevistando os dados dos tuítes em uma abordagem etnográfica | ![]() |
|---|
| sklearn.model_selection.RandomizedSearchCV — scikit-learn 0.21.2 documentation |
|---|
| Google vai distribuir R$ 2 milhões em bolsas de estudo. Inscrições abertas | ![]() |
|---|
Last Message ID: 75644
Se cuida Wiliam Bonner 👀👀👁️👁️
| EstaTiDados) on LinkedIn: "Se cuida Wiliam Bonner! 👀👀👁️👁️ https://lnkd.in/ezXiGxg" |
|---|
| trekhleb/homemade-machine-learning: 🤖 Python examples of popular machine learning algorithms with interactive Jupyter demos and math being explained |
|---|
Microsoft lança a AcademIA.
São cursos grátis de Programação, Inteligência Artificial, Python, etc.
| AcademIA |
|---|
Last Message ID: 75554
dá uma olhada nesse canal de anúncios de vaga para python
| Telegram: Contact @pyfreelas | ![]() |
|---|
| Apple anuncia recall do Macbook Pro por risco de incêndio das baterias | ![]() |
|---|
Last Message ID: 75521
Freezaum
| Data Science and Cognitive Computing Courses | ![]() |
|---|
Last Message ID: 75483
| Pizza de Dados on Twitter | ![]() |
|---|
Por sinal, estamos com um canal do Pizza no Telegram! Pra quem quiser ficar por dentro das novidades :)
| Telegram: Contact @pizzadedados | ![]() |
|---|
| Tim Head on Twitter | ![]() |
|---|
| Open-sourcing PyRobot to accelerate AI robotics research | ![]() |
|---|
| Facebook Unleashes Software to Make Programming Robots Easy | ![]() |
|---|
Last Message ID: 75424
| 🐳 📘 Deep Blueberry Book: Deep Learning 🚙 🦋 |
|---|
From Discover on Google
| Five AI and Data Science Terms Business Leaders Get Wrong | ![]() |
|---|
| Interpretable Machine Learning | ![]() |
|---|
| Kaggle on Twitter | ![]() |
|---|
| pandas-profiling/pandas-profiling: Create HTML profiling reports from pandas DataFrame objects |
|---|
| CREATE EXTERNAL FILE FORMAT (Transact-SQL) - SQL Server |
|---|
| How to get a value from a cell of a dataframe? |
|---|
| Pandas 101 |
|---|
| Curso de Python + Bot Telegram |
|---|
Last Message ID: 75324
| Boston Dynamics Fake Robot: VFX Before & After Reveal | ![]() |
|---|
| Google distribui R$ 2 milhões para mestrado e doutorado em computação – Demais assuntos | ![]() |
|---|
| Xonsh - Um Shell para os Amantes de Python | ![]() |
|---|
Salve, pessoas! Peço licença pra divulgar um post escrito em colaboração com os grandes @FBarbalho, Tarssio Barreto, @tomasbarcellos e @Koselleck , no qual exploramos os dados de tuítes e retuítes sobre a #VazaJato usando estatística computacional, sistemas complexos e métodos de machine learning. De quebra, publicamos dois dashboards interativos, acessíveis ao público, que permitem ao leitor e à leitora fazerem suas próprias análises em cima dos mesmos dados que usamos no post. Tá massa! E tá aqui:
| A #VazaJato no Twitter: Redes dentro da Rede | ![]() |
|---|
| Serpro lança ferramenta de Inteligência Artificial para a Defensoria Pública |
|---|
Last Message ID: 75216
| soma.py at master · jecamanga |
|---|
Last Message ID: 75132
| https://colab.research.google.com/drive/14CvUNTaX1OFHDfaKaaZzrBsvMfhCOHIR |
|---|
Boa noite pessoal, gostaria de contar com o apoio e feedback de vocês, acabei de postar um artigo no medium falando sobre os passos do pré-processamento, estou estudando a fundo essa etapa e resolvi publicar um pouco sobre o que eu aprendi:
| Um guia completo para o pré-processamento de dados em machine learning | ![]() |
|---|
Last Message ID: 75032
| Telegram: Join Group Chat | ![]() |
|---|
| bentrevett/pytorch-sentiment-analysis: Tutorials on getting started with PyTorch and TorchText for sentiment analysis. |
|---|
Last Message ID: 75008
| QuantStack/voila: From Jupyter notebooks to standalone applications |
|---|
| Automagica | ![]() |
|---|
| OakwoodAI/Automagica: 🤖 Open Source (Smart) Robotic Process Automation |
|---|
| UNISUAM - Data Science: a verdade sobre o mercado |
|---|
Povo!! Aqui o resultado da parceria surgida aqui alguns dias atras, entre Tarssio, @FBarbalho, @tomasbarcellos e minha pessoa:
| A #VazaJato no Twitter | ![]() |
|---|
| The New York Times has a course to teach its reporters data skills, and now they’ve open-sourced it | ![]() |
|---|
Last Message ID: 74971
será que isso vai ao encontro do que você procura?
| H3: Uber’s Hexagonal Hierarchical Spatial Index | ![]() |
|---|
muito dos plugins disponíveis do QGIS são em python. Não duvidaria você encontrar disponível. Aconselho perguntar em
| Telegram: Contact @GeotecnologiasBR | ![]() |
|---|
Para um sistema de coordenadas hexagonal, tem algo em
| RedFT/Hexy: Hexagonal Coordinate System Library for Python |
|---|
| okfn-brasil/serenata-de-amor: 🕵 Artificial Intelligence for social control of public administration |
|---|
Last Message ID: 74815
| Thaís Falbo on Twitter | ![]() |
|---|
| Elsa Birch |
|---|
| How to Handle Missing Data with Python | ![]() |
|---|
rede de cápsulas para reconhecimento de entidades nomeadas:
| amitkumarj441/CapsRoute_NER: Capsule Routing for Named Entity Recognition |
|---|
| Inteligência artificial será usada para verificar qualidade de dados processuais |
|---|
Last Message ID: 74625
| Jeremy Stanley on Twitter | ![]() |
|---|
Confira essa história: "Empresas sem estratégia de IA vão sumir do mercado", diz professor do ITA do Flipboard.
| "Empresas sem estratégia de IA vão sumir do mercado", diz professor do ITA | ![]() |
|---|
| Anaconda is bloated — Set up a lean, robust data science environment with Miniconda and Conda-Forge | ![]() |
|---|
| Python Pandas Tutorial 15 | How to Identify and Drop Null Values | Handling Missing Values in Python | 
| pandas.DataFrame.dropna — pandas 0.24.2 documentation |
|---|
| Carla Gentry on Twitter | ![]() |
|---|
| Yann LeCun on Twitter | ![]() |
|---|
Bom noite pessoal. Recentemente eu tive uma ideia de publicar artigos sobre algumas bibliotecas Python para Data Science. A ideia é fazer algo simples e objetivo, com comentários. Segue o link do meu primeiro artigo:
| Folha de dicas comentada - biblioteca Pandas | ![]() |
|---|
Last Message ID: 74467
| fititnt/DicSin-dicionario-sinonimos-portugues-brasileiro: DicSin |
|---|
Last Message ID: 74286
:)
| VAGAS PARA PYTHON DEV SR FULL STACK |
|---|
| “Precisamos de mais pensadores, não de tarefeiros”, diz cientista-chefe do Experian DataLabs | ![]() |
|---|
| https://www.oreilly.com/programming/free/files/functional-programming-python.pdf |
|---|
| Learn You a Haskell for Great Good! |
|---|
| Raspagem de dados sem escrever código | ![]() |
|---|
Last Message ID: 74136
| Intro to Data Science | ![]() |
|---|
tenta jogar num gist do GitHub e embeddar o Gist. Acho que ele renderiza. Pelo menos é o que me parece que foi feito aqui:
| Going Nuts with Leaflet | ![]() |
|---|
| França proíbe divulgação de estatísticas sobre decisões judiciais | ![]() |
|---|
| Best Data Science Overviews | ![]() |
|---|
| Meg Leta Jones on Twitter | ![]() |
|---|
| Making DataFrame Smaller and Faster |
|---|
Last Message ID: 74025
| Anaconda on Twitter | ![]() |
|---|
| Data Scientist | ![]() |
|---|
| Sebastian Raschka on Twitter | ![]() |
|---|
| Jake VanderPlas on Twitter | ![]() |
|---|
| https://tgdev.io/blog/02_en_how_to_add_bot |
|---|
Last Message ID: 73935
Absurdo! Um tremendo desserviço a sociedade! Se você "previr" que um Juiz está favorecendo uma empresa ou grupo você vai poder ser preso!
| França proíbe predição baseada em sua jurisprudência, com pena de até 5 anos de prisão |
|---|
| Jake VanderPlas on Twitter | ![]() |
|---|
| polvoazul/zapzap_awards_presentation: Extraindo, analisando e |
|---|
| Anaconda on Twitter | ![]() |
|---|
Last Message ID: 73875
| A Recommendation Model with PyTorch | ![]() |
|---|
| An Overview of Python’s Datatable package | ![]() |
|---|
| PAPIs Latam 2019 - Real-World Machine Learning Stories |
|---|
| Ideas: Design Methodologies for Data Sprints |
|---|
| The Unreasonable Effectiveness of Method Chaining in Pandas | ![]() |
|---|
| Inteligência Artificial derrota humanos em jogos de primeira pessoa | ![]() |
|---|
| Using Data Science To Uncover State-Backed Trolls On Twitter | ![]() |
|---|
| [Vídeo] Esse robô aprende a escrever palavras em vários idiomas sozinho | ![]() |
|---|
| Introdução a Estatística para Data Science (Aula ao vivo Gratuita) | ![]() |
|---|
| Panel | ![]() |
|---|
| Cracking open the black box of automated machine learning | ![]() |
|---|
Last Message ID: 73797
| John B. Holbein on Twitter | ![]() |
|---|
Parece q só tem uma library descontinuada, mas pode tentar a sorte
| python-instagram/README.md at master · facebookarchive/python-instagram · GitHub |
|---|
| Como o Liverpool usou dados e tecnologia para chegar à final da Champions League | ![]() |
|---|
| Activating Anaconda Environment in VsCode |
|---|
From Discover on Google
| How Karl Popper can make you as good a data scientist as George Soros | ![]() |
|---|
Last Message ID: 73593
| How to Use ggplot2 in Python | ![]() |
|---|
| NVIDIA’s AI Transformed My Chihuahua Into a Lion | ![]() |
|---|
| Conrad Wolfram: “80% do que se aprende nas aulas de matemática não serve para nada” | ![]() |
|---|
| Online regex tester and debugger: PHP, PCRE, Python, Golang and JavaScript |
|---|
error: Microsoft Visual C++ 14.0 is required. Get it with "Microsoft Visual C++ Build Tools":
| IDE, Code, & Team Foundation Server | ![]() |
|---|
Last Message ID: 73538
| Machine Learning for Intelligent Systems | ![]() |
|---|
| As We May Program | ![]() |
|---|
Fiz um artigo mostrando como usar dados abertos pra fazer classificação de nomes por gênero (com Python). É bastante útil para enriquecer datasets, já utilizei em diversos projetos:
| Álvaro Justen on Twitter | ![]() |
|---|
PREFIX rdfs: < PREFIX foaf: < PREFIX dbr: < PREFIX dbp: <
| http://www.w3.org/2000/01/rdf-schema#> |
|---|
Outra alternativa é utilizar um parser de rdf, nessa lib há
| RDFLib/rdflib: RDFLib is a Python library for working with RDF, a simple yet powerful language for representing information. |
|---|
| Fundação Escola Superior do Ministério Público RS |
|---|
“A Beginner’s Guide to Optimizing Pandas Code for Speed” by Sofia Heisler
| https://link.medium.com/HllCZs8o9W |
|---|
| Deploy de modelo IA com Tensor Flow 2, Flask e Docker em ambiente Local e Google Cloud com Kubernets |
|---|
| https://colab.research.google.com/drive/1k2r7pPuinCjMpmu_uT5Hu2mfTTSrkilW |
|---|
Last Message ID: 73414
esse link pode servir como inspiração
| Diz-me quem és, e calcularei tua nota no ENEM | ![]() |
|---|
https://codepen.io/idkjs/pen/mpVpxy
tem uma mensagem fixada ai irmao!! esse e o link que vai acessar
| leportella/datascience-pizza: 🍕 Repositório para juntar informações sobre materiais de estudo em análise de dados e áreas afins, empresas que trabalham com dados e dicionário de conceitos |
|---|
Parece que sim --
| OS by System76 | ![]() |
|---|
| Quantum Tinkerer on Twitter | ![]() |
|---|
| healthdata |
|---|
Last Message ID: 73288
Você conhece o grupo R-Brasil? Experimenta postar por lá as dúvidas.
| Telegram: Contact @rbrasiloficial | ![]() |
|---|
| Nat Friedman on Twitter | ![]() |
|---|
vaga diferentona do dia:
| Kaggle: Your Home for Data Science |
|---|
| Yann LeCun on Twitter | ![]() |
|---|
| Pandas |
|---|
| pdftables.six | ![]() |
|---|
| pdftables | ![]() |
|---|
Algum feedback sobre o ?
| fishtown-analytics/dbt: dbt (data build tool) enables data analysts and engineers to transform their data using the same practices that software engineers use to build applications. |
|---|
| Ajuda nas vendas! Microsoft leva inteligência artificial às lojas do Ponto Frio e Casas Bahia |
|---|
| The Math PhD Turning Basketball Into a Science | ![]() |
|---|
| Top 5 Uses of Neural Networks! (A.I.) | ![]() |
|---|
| Nirant on Twitter | ![]() |
|---|
Last Message ID: 73163
| Kevin Markham on Twitter | ![]() |
|---|
| Make new reports |
|---|
| ICMC promove evento e competição sobre inteligência artificial e ciência de dados | ![]() |
|---|
| François Chollet on Twitter | ![]() |
|---|
| Manual de Mentorias Data for Good |
|---|
Last Message ID: 73041
| datetime — pandas 0.24.2 documentation |
|---|
Implementação (em Rust) mais rápida do algoritmo do XGBoost pela Baidu.
| mesalock-linux/gbdt-rs |
|---|
| Why Swift May Be the Next Big Thing in Deep Learning | ![]() |
|---|
Me perguntaram quais partidos mudaram de nome recentemente, aproveitei para escrever um artigo explicando como analisar alguns dados do TSE usando Python e SQL, com dados do Brasil.IO:
| Álvaro Justen on Twitter |
|---|
Last Message ID: 72963
| Gael Varoquaux on Twitter | ![]() |
|---|
| Jason Baumgartner on Twitter | ![]() |
|---|
zeramos o valor para alunos de graduação! aproveitem!
Pessoal, aproveitem! Evento massa acabou de ser ficar gratuito para alunos de graduação
| XV Encontro Estatístico | ![]() |
|---|
Last Message ID: 72926
| IA na OCDE |
|---|
| Mauro Martino on Twitter |
|---|
| Manual de Mentorias Data for Good |
|---|
| Machine Learning e Data Science com Python de A à Z | ![]() |
|---|
| The programmer who created Python isn’t interested in mentoring white guys | ![]() |
|---|
Boa tarde pessoal! Estamos contratando analista de dados aqui no GrupoZAP! Quem quiser tirar alguma dúvida pode me perguntar, mas de resto aqui tá a vaga:
| Analista de Dados | ![]() |
|---|
Last Message ID: 72812
| 4 talentos em TI altamente cobiçados atualmente | ![]() |
|---|
Nesse link aqui aborda isso e mais algumas coisas:
| A Complete Tutorial which teaches Data Exploration in detail | ![]() |
|---|
| Data Scientist | ![]() |
|---|
| Telegram: Contact @ProgramadoresBrasil | ![]() |
|---|
tem tudo aqui
| leportella/datascience-pizza: 🍕 Repositório para juntar informações sobre materiais de estudo em análise de dados e áreas afins, empresas que trabalham com dados e dicionário de conceitos |
|---|
Aqui o devblog de anúncio:
| Shipping a Linux Kernel with Windows |
|---|
| danbailo/T2-Analise-Algoritmos-I: Análise do tempo de execução do "Problema da Mochila Booleana" |
|---|
| Bubble sheet multiple choice scanner and test grader using OMR, Python and OpenCV | ![]() |
|---|
| Predicting Airbnb prices with machine learning and deep learning | ![]() |
|---|
Last Message ID: 72543
Galera, alguém conhece algum dataset além do que tenha um conjunto de nomes de brasileiros ?
| Gênero dos Nomes |
|---|
Humble Book Bundle de livros da Packtpub sobre Inteligência Artificial e Deep Learning.
| Humble Book Bundle: Artificial Intelligence & Deep Learning by Packt | ![]() |
|---|
tem um de Harvard
| Brazilian First Names and Gender Ratios |
|---|
| Revista Computação Brasil: Machine Learning - Desafios para um Brasil competitivo |
|---|
| creme-ml/creme: Online machine learning in Python |
|---|
| SER 2019 - Fernando Barbalho - R Python Open Data Telegram.pptx |
|---|
Rogério
| TIBCO Spotfire Getting Started Video | ![]() |
|---|
| Online Courses - Anytime, Anywhere | ![]() |
|---|
Last Message ID: 72458
Machine Learning Guide: Learn Machine Learning Algorithms
| FREE COURSES ONLINE |
|---|
| AcademIA |
|---|
| Por que a ciência de dados é aplicada no dia a dia de um grande banco |
|---|
| Python Learning on Instagram: “Flow chart for selecting visualization library or tool😉 Credits | ![]() |
|---|
Seria interessante depois de treinado você salvar o modelo pra uso "em produção". Na documentação do Scikit tem algumas maneiras de fazer isso:
| 3.4. Model persistence — scikit-learn 0.21.1 documentation |
|---|
| Ethics & Algorithms Toolkit (beta) | ![]() |
|---|
| Spyder IDE on Twitter | ![]() |
|---|
Pessoal, o link do PyData para transmissão online é esse aqui: Assim que entrar no ar vai ficar disponível 😁
| Meetup PyData | ![]() |
|---|
Não:
| What Happened When DataCamp Tried To Cover Up Its CEO’s Sexual Misconduct | ![]() |
|---|
| Tutorial sobre Expressões Regulares para iniciantes em Python | ![]() |
|---|
| What to consider when creating tables | ![]() |
|---|
| Ferramentas de Desenvolvedor e Essentials Gratuitos |
|---|
Last Message ID: 72281
| Data Visualization |
|---|
| Caio Gomestern on Twitter | ![]() |
|---|
| Como a avaliação das séries de TV muda ao longo das temporadas |
|---|
| Escola de Dados on Twitter | ![]() |
|---|
tô tentando esse código aqui:
| kfold.py |
|---|
Last Message ID: 72205
| Predicting Wine Quality with Gradient Boosting Machines — a GMB tutorial |
|---|
Junte-se a mim em 8 Meetup Deep Learning SP + WiMLDS
| Create a Meetup Account |
|---|
Microsoft oferece cursos gratuitos sobre inteligência artificial em nova plataforma
| Microsoft oferece cursos gratuitos sobre inteligência artificial em nova plataforma | ![]() |
|---|
Ajudar o projeto Educare a ir para o maior congresso de computação no Brasil. vocês podem se juntar em um grupinho e fazer uma doação única e quem não poder ajudar de modo fincaneiro ajude compartilhando
| Ajudar o projeto Educare a ir ao maior congresso de computação | ![]() |
|---|
Last Message ID: 72082
| Practical Business Python |
|---|
Nesse canal tem análise de várias arquiteturas de empresas. Não sei se serviriam pra ti, mas é o que sei
| Plumbers of Data Science |
|---|
Pra quem também está buscando aprender mais sobre data engineering, recomendo essa série
| A Beginner’s Guide to Data Engineering — Part I | ![]() |
|---|
2017-08-22 08:08:29,Distribution Site,Locky,german-brazil-club.com,http://german-brazil-club.com/65JKjbh,offline,1&
| Workday is currently unavailable. |
|---|
| leportella/datascience-pizza: 🍕 Repositório para juntar informações sobre materiais de estudo em análise de dados e áreas afins, empresas que trabalham com dados e dicionário de conceitos |
|---|
Last Message ID: 71853
Transmissão do 16o PyData:
| 16º PyData - BSB | ![]() |
|---|
| Vinicius Assef on Twitter | ![]() |
|---|
Quem puder participar da pesquisa sobre o Ecossistema de Dados Abertos, não demora nem 5min.
| Pesquisa mapeia atores e redes de dados abertos governamentais | ![]() |
|---|
tem o Rodeo, mas nunca usei.
| Rodeo |
|---|
| Is there a Variable Explorer for PyCharm |
|---|
| RStudio Preview | ![]() |
|---|
qlq coisa da uma olhada nesse post
| É possível rodar python no RStudio? | ![]() |
|---|
| microsoft/interpret: Fit interpretable models. Explain blackbox machine learning. |
|---|
Last Message ID: 71676
| nteract/papermill: 📚 Parameterize, execute, and analyze notebooks |
|---|
| Machine Learning Addict |
|---|
Google Cloud realiza treinamento gratuito para desenvolvedores ☛
| Google Cloud realiza treinamento gratuito para desenvolvedores | ![]() |
|---|
| Applied Data Science with Python | ![]() |
|---|
| Python Brasil on Twitter | ![]() |
|---|
| https://projects.raspberrypi.org/en/projects/using-pip-on-windows/5 |
|---|
| Markdown Cheatsheet · adam-p/markdown-here Wiki · GitHub |
|---|
| Table Convert Online |
|---|
| 16° PyData Brasília - 16/05/2019 - Ministério da Economia | ![]() |
|---|
Last Message ID: 71605
| ICLR | ![]() |
|---|
| Paul Murray on Twitter |
|---|
Postando aqui também para caso alguém queira opinar:
| Paulo Vasconcellos on Twitter | ![]() |
|---|
| Cadeira Aeron Mineral | ![]() |
|---|
| The New York Times on Twitter | ![]() |
|---|
| matplotlib.pyplot.margins — Matplotlib 3.0.3 documentation |
|---|
Last Message ID: 71351
| A New Interpretation of Probability | ![]() |
|---|
| awesome-decision-tree-papers/README.md at master · benedekrozemberczki/awesome-decision-tree-papers · GitHub |
|---|
Edição mais recente da Newsletter do Data Hackers: comece lendo como fazer deep learning pro GoT, em seguida leia outros artigos, inclusive o meu que trata do modelo cinco estrelas para dados abertos. O que leva o PDF ao Nirvana.
| Data Science + Game of Thrones! 😮 | ![]() |
|---|
| leportella/datascience-pizza: 🍕 Repositório para juntar informações sobre materiais de estudo em análise de dados e áreas afins, empresas que trabalham com dados e dicionário de conceitos |
|---|
| pandas read_json for multi line jsons returns a JSONReader and not a dataframe |
|---|
Last Message ID: 71235
| Open infrastructure for Open Science - How Binder powers an open stack in the cloud | ![]() |
|---|
Do Discover no Google
| Matemática da USP coordenará escola para aplicações em Ciência de Dados |
|---|
"Funções — Introdução à Computação com Python" https://panda.ime.usp.br/cc110/static/cc110/08-funcoes.html
Além do que colegas falaram. Aqui tem um pouco mais sobre:
| Entenda o |
|---|
"Listas de Exercícios"
| LISTAS DE EXERCÍCIOS |
|---|
| Master’s Degree in Data Science |
|---|
Está rolando um Humble Book Bundle de Python:
| Humble Book Bundle: Python by O'Reilly | ![]() |
|---|
Last Message ID: 71137
| tzutalin/labelImg: LabelImg is a graphical image annotation tool and label object bounding boxes in images |
|---|
Last Message ID: 71060
| James Bednar on Twitter | ![]() |
|---|
| 16° PyData Brasília - 16/05/2019 - Ministério da Economia | ![]() |
|---|
| Hands-on Machine Learning with Scikit-Learn, Keras, and TensorFlow | ![]() |
|---|
Pessoal, certa vez perguntei aqui sobre algum overview sobre soluções para data architecture, falando em mais alto nível, sobre os casos de uso, cenários etc e estou gostando dessa apresentação, voltada pras soluções da AWS:
| AWS re:Invent 2018: Big Data Analytics Architectural Patterns & Best Practices (ANT201-R1) | ![]() |
|---|
| PyMySQL/PyMySQL: Pure Python MySQL Client |
|---|
| Hands-on Machine Learning with Scikit-Learn, Keras, and TensorFlow | ![]() |
|---|
Last Message ID: 70980
| People + AI Guidebook | ![]() |
|---|
| CNJ abre seleção de projetos para Centro de Inteligência Artificial |
|---|
Oi pessoal, para os pesquisadores que tem artigos aceito em conferencias internacionais de areas como ES existem fundos internacionais (tais como: https://www.sigsoft.org/) que oferecem ajuda de custas para os pesquisadores irem apresentar seus trabalhos. Voces sabem se existe para a nossa area?
| Entenda como o estudo foi feito | ![]() |
|---|
| A posição ideológica de mil influenciadores no Twitter | ![]() |
|---|
| Analyzing Machine Learning Models with Yellowbrick | ![]() |
|---|
| Jupyter/IPython client for iOS | ![]() |
|---|
| query — pandas 0.24.2 documentation |
|---|
| Only halfway done? Go-live! : SAP |
|---|
| DeltaFolha - Jornalismo investigativo com dados / Folha | ![]() |
|---|
Last Message ID: 70808
gostaria de compartilhar um paper com vcs , todo feedback é bem vindo ! https://www.researchgate.net/publication/328734993_Comparacao_de_diferentes_configuracoes_de_bases_de_dados_para_a_identificacao_precoce_do_risco_de_reprovacao_o_caso_de_uma_disciplina_semipresencial_de_Algoritmos_e_Programacao
| Connection Object — PyMySQL 0.7.2 documentation |
|---|
| seaborn.FacetGrid — seaborn 0.9.0 documentation |
|---|
| Python Data Science Handbook |
|---|
| Seu primeiro Progressive Web App | ![]() |
|---|
| Pokedex.org |
|---|
| Introducing Pokedex.org: a progressive webapp for Pokémon fans |
|---|
| Pesquisadores do MIT encontram redes neurais menores e mais fáceis de treinar | ![]() |
|---|
| Cris Ferri on Twitter | ![]() |
|---|
Boa noite galera, alguém já fez esse curso, ou sabe opinar se eh bom?
| Armazenagem de dados e inteligência de negócios Armazenagem de Dados e Inteligência de Negócios | ![]() |
|---|
| https://frontendmasters.com/welcome/python/ | ![]() |
|---|
o henrique bastos tá codando ao vivo...
| Pimp my code #2 | ![]() |
|---|
Last Message ID: 70655
Vou te passar essa minha apresentação sobre a parte da regularização, acho que esta mais ou menos claro la: Sobre a primeira parte, o que eu quis dizer é que dado que você quer encontrar variáveis boas para predizer a resposta, uma técnica que você pode usar é verificar o quanto a resposta varia em cada nível das binárias. Por exemplo, se sua variável resposta é continua, você verificar se dentro de cada nível (0 e 1) das binárias a média e variância da variável resposta mudam muito, por exemplo (O mesmo pode ser feito com variáveis resposta categóricas, ai você olha o quão homogêneo cada nível das binárias é). Faz sentido pra você?
| Regularization Methods in Random Forests |
|---|
| Tribunal de Contas da União on LinkedIn: "Saiba mais https: |
|---|
| Engenharia de Dados | ![]() |
|---|
Last Message ID: 70541
“Levando o patinho feio ao nirvana: uma história de amor e ódio entre pdf e dados abertos” by Fernando Barbalho
| https://link.medium.com/06hgUJ20nW |
|---|
saiu
| Rachael Tatman - Put down the deep learning: When not to use neural networks and what to do instead | ![]() |
|---|
Fala Galera !!! Já submeteu a sua palestra pra trilha de Python do TDC SP??? NÃO?? É até hoje o prazo (dia 6)! Vai ser um evento incrível, não vai perder né?. Qualquer dúvida pode falar cmg ou com o @Gutomaia12 para ajuda na proposta. Abraço!
| TDC 2019 São Paulo |
|---|
| Microsoft launches a drag-and-drop machine learning tool – TechCrunch | ![]() |
|---|
| Raymond Hettinger on Twitter | ![]() |
|---|
| The new Windows Terminal | ![]() |
|---|
nenhuma dessas q usou são palavras reservadas do Python
| List of Keywords in Python Programming |
|---|
Last Message ID: 70458
Não sei se é isso que você procura
O Saulo é um cara genial, ele usa mais o LinkedIn, sempre posta coisas bacanas lá
| MACHINE LEARNING FOR TRADERS | ![]() |
|---|
Cara, já tem, um específico de boleto. E minha empresa (antiga) até contribuía. É open source, feito em Python.
Agora se for abraçar todas formas de cobranças, eu não recomendo. Tem vários desafios, ai é melhor usar a API de gateways de pagamentos como do PagSeguro, PayPal, Cielo Chekout, Stone Online, etc... tem um tanto.
| Superbuy-Team/sbcnab240: Biblioteca em Python para leitura de arquivos CNAB 240 |
|---|
| Why Most Data Science Projects Fail | ![]() |
|---|
| PyCon 2019 |
|---|
| Humble Book Bundle: Python by O'Reilly | ![]() |
|---|
| Ensemble methods: bagging, boosting and stacking | ![]() |
|---|
Last Message ID: 70348
| ecosystem/README.md at master · datapythonista/pandas |
|---|
| Remote Python Development with Visual Studio Code | ![]() |
|---|
| Welcome to Introduction to Python GIS -course 2018! — Intro to Python GIS documentation |
|---|
Aqui o link completo:
| PUT DOWN THE DEEP LEARNING: When not to use neural networks (and what to do instead) |
|---|
Vejam essa campanha que bacana!
| Public Money Public Code | ![]() |
|---|
Last Message ID: 70261
| CC Search: novo banco de imagens gratuito chega ao público | ![]() |
|---|
| Using What-If Tool to investigate Machine Learning models. | ![]() |
|---|
| How many rounds on top are necessary to be a soccer champion? | ![]() |
|---|
#offtopic novo tema "cheguei" lançado pro vscode
| Visual Studio Marketplace | ![]() |
|---|
Confira o Tweet de @rasbt:
| Sebastian Raschka on Twitter | ![]() |
|---|
Last Message ID: 70172
Use esse link:
| How To Install Anaconda on Ubuntu 18.04 [Quickstart] | ![]() |
|---|
ta aqui a referencia
| I have to type export PATH=~/anaconda3/bin:“$PATH” everytime I rerun the terminal |
|---|
| Managing environments — conda 4.6.14.post86+9cd612cb documentation |
|---|
Last Message ID: 69915
| Top Data Science and Machine Learning Methods Used in 2018, 2019 |
|---|
Acho que vale a pena estudar por fora, fazer outra graduação só por causa disso não vale a pena. Na DSA tem esse curso Vale a pena você ver a grade pra ter uma ideia e daí decidir estudar lá ou organizar uma grade por fora. Acho que tudo que tem ai na DSA tem na Khan Academy tb
| Matemática Para Machine Learning | ![]() |
|---|
| How much mathematics does an IT engineer need to learn to get into data science/machine learning? | ![]() |
|---|
Aqui tem uma trilha de assuntos pra estudar na Khan, tá em inglês mas na khan em português tem esses vídeos tbm
| Getting Started with Machine Learning | ![]() |
|---|
| Humble Book Bundle: Python by O'Reilly | ![]() |
|---|
Confira o Tweet de @rctatman:
| Rachael Tatman op Twitter: "A couple resources for learning about statistics: ▪️@OpenIntroOrg has free, open source, high quality statistics textbooks https: | ![]() |
|---|
| Data Visualization: from Non-Coder to Coder |
|---|
Confira o Tweet de @felipebcabral:
@leportella @gusrabbit @jtemporal vocês lançaram tendência mesmo
| Abandone o gráfico pizza: como contar boas histórias a partir dos dados |
|---|
| Python at Netflix | ![]() |
|---|
| Cientistas criam implante que transforma sinais cerebrais em fala | ![]() |
|---|
| Jobs: Pessoa engenheira de Dados (Pleno) | ![]() |
|---|
| Netflix: Python programming language is behind every film you stream |
|---|
Confira o Tweet de @seanjtaylor:
| Sean J. Taylor op Twitter: "📈Long thread on how Prophet works📈 | ![]() |
|---|
| Python at Netflix | ![]() |
|---|
o codigo do projeto ta aqui:
| rogeriochaves/ptbr-datascience-crawler: Scrapes links from Pt-BR Data Science telegram group because they are too good to miss |
|---|
| Everything you need to know to master Convolutional Neural Networks | ![]() |
|---|
| seaborn.countplot — seaborn 0.9.0 documentation |
|---|
| parrt/dtreeviz: A python library for decision tree visualization and model interpretation. |
|---|
Confira o Tweet de @eytan:
Confira o Tweet de @lopezdeprado:
| Concurso de Visualização de Dados da Data Science Academy | ![]() |
|---|
Confira esta vaga na Facti - Fundação de Apoio à Capacitação em Tecnologia da Informação:
| Facti - Fundação de Apoio à Capacitação em Tecnologia da Informação hiring Estagiário (Big Data) in Campinas e Região |
|---|
| parrt/bookish: A tool that translates augmented markdown into HTML or latex |
|---|
Last Message ID: 69621
olha esse perfil da Lorena Geof!
| Lorenna Geof | ![]() |
|---|
| Nubank abre sua biblioteca de machine learning | ![]() |
|---|
Conheço esse
| Learn python3 in Y Minutes |
|---|
| Telegram: Join Group Chat | ![]() |
|---|
| Xb34XiR3fd for code reviews on Jupyter notebooks. We enable visual diffs and commenting for notebook changes in GitHub commits | ![]() |
|---|
| Ted Petrou op Twitter: "I analogize scikit-learn to a house. The modules are the rooms which contain the objects (estimators and helper functions).… https://t.co/uifBP2VRtu" | ![]() |
|---|
| Entenda o que é mineração de dados e o que faz um cientista da área | ![]() |
|---|
| Cookiecutter Data Science |
|---|
Last Message ID: 69311
| Koalas: Easy Transition from pandas to Apache Spark | ![]() |
|---|
| Formação Inteligência Artificial | ![]() |
|---|
| Prezados Alunos, Venho através desta... - Data Science Academy | ![]() |
|---|
| Como criar um Aplicativo e pegar o Access Token no Instagram | ![]() |
|---|
| Advanced Visualization for Data Scientists with Matplotlib | ![]() |
|---|
| Uber compartilha dados para ajudar em pesquisas sobre trânsito e em políticas de mobilidade Últimas notícias | ![]() |
|---|
Acho que pelo twitter é mais rápido, mas dependendo:
| How To Contact DataCamp |
|---|
Parece que o desfecho esta dado... Dinheiro de copyriright indo para: Girls Who Code, Project Favela, Brazil CARE, and Prostate Cancer Foundation.
Last Message ID: 69000
| Sobre BI, Ciência e Engenharia de Dados: Um olhar de perto, um olhar de longe | ![]() |
|---|
Confira o Tweet de @lexfridman:
| I am deeply sorry | ![]() |
|---|
| An Important Update from the DataCamp Board of Directors | ![]() |
|---|
Datacamp respondeu a pressão social:
| DataCamp op Twitter: "An important update from the DataCamp Board of Directors https: | ![]() |
|---|
| Ironhack Web Development Bootcamp & UX |
|---|
agora o Adrian, autor do código original, tá acusando o Weber -> https://twitter.com/PyImageSearch/status/1121429288840986625
| Data Science Academy on LinkedIn: "O Que Faz um Analista de Inteligência de Mercado? Acesse e confira: https: |
|---|
| Adrian Rosebrock op Twitter: "Oh, sorry. Here is their course page: https: | ![]() |
|---|
Meu manifesto em apoio da DSA, explico o porquê.
Last Message ID: 68739
link da noticia:
| Blind recruitment trial to boost gender equality making things worse, study reveals | ![]() |
|---|
| [PyBR14] Medindo o preconceito no aprendizado de máquinas - Gustavo Soares | ![]() |
|---|
| Episódio 014: AfroPizza | ![]() |
|---|
Expurgar Viés é grande desafio. E ainda tem viés inconsistente. Até Google tem apanhado disto. Tem um videos sobre isto.
| Unconscious Bias @ Work | Google Ventures | 
| Saber Ciência: Você sabe o que são algorítimos? | ![]() |
|---|
Mais ou menos, há um grande problema com o hype de bootcamps, a Colleen Farrelly escreveu algo a respeito :
| Colleen Farrelly's answer to As a data scientist, what do you not like about Data science? |
|---|
evento :
| ABC-Dev | ![]() |
|---|
call4papers:
| Call for Papers |
|---|
| 10 principais certificações de desenvolvimento em ciência de dados | ![]() |
|---|
Creio que seja esse do qual esteja falando
| Data Science A-Z™: Real-Life Data Science Exercises Included | ![]() |
|---|
| Does Google Colab stay connected when I close my browser? |
|---|
Last Message ID: 68461
Workshop Inteligência Artificial GRATUITO no #TheDevConf Florianópolis - Manda pros seus amigos e amigas! Presencial e ONLINE
| Florianópolis: Workshop Intel - Inteligência Artificial em Arquiteturas Heterogêneas | ![]() |
|---|
Alguém mais com problemas de visualização de arquivos no GITHUB? Exemplo:
| aprenda-python/HackTH_bank.ipynb at master · triatebr/aprenda-python · GitHub |
|---|
| hardmaru op Twitter: "We're living in a cyberpunk future: “Fooling automated surveillance cameras: adversarial patches to attack person detection” https: | ![]() |
|---|
Quer se tornar um cientista de dados? Veja o que fazer para chegar lá
| Mozilla leva ciência de dados em Python para o navegador | ![]() |
|---|
| Getting started with Python datatable |
|---|
| Qual a função do “try” e do “except” |
|---|
| Login |
|---|
| Winston Chang op Twitter: "The second edition of R Graphics Cookbook is available in print and online! #rstats https: | ![]() |
|---|
Uma coletânea de conteúdo compilada
| leportella/datascience-pizza: 🍕 Repositório para juntar informações sobre materiais de estudo em análise de dados e áreas afins, empresas que trabalham com dados e dicionário de conceitos |
|---|
Confira o Tweet de @abigail_e_see:
| Abigail See op Twitter: "The full set of 2019 videos for #CS224n: #NLP with #DeepLearning, is now live on YouTube! https: | ![]() |
|---|
Quer se tornar um cientista de dados? Veja o que fazer para chegar lá
| Startup brasileira oferece capacitação gratuita em programação | ![]() |
|---|
| https://neo4j.com/neoassets/graphbooks/Graph_Algorithms_Neo4j.pdf |
|---|
https://www.codenation.dev/acceleration/aceleradev-data-science/challenge/enem-ps
| Comissão promove debate sobre inteligência artificial nesta manhã | ![]() |
|---|
| Data Science | ![]() |
|---|
| Data Science Para Negócios |
|---|
Last Message ID: 68240
| Journal of Statistical Software |
|---|
Patrícia, dá uma olhada nesse meu projeto:
| larhud/wordcloud-eleicoes-2018: Geração de Word Clouds das propostas dos candidatos a presidência em 2018 |
|---|
| What does Python 3.2 “with/as” do |
|---|
Não. Recomendo a live do Eduardo Mendes sobre
| Live de Python #43 - Gerenciadores de contexto | ![]() |
|---|
como apresentar dados da maneira certa!
| Elge Nocida | ![]() |
|---|
| 3 Awesome Visualization Techniques for every dataset | ![]() |
|---|
| A Song of Ice and Data | ![]() |
|---|
| Telegram: Contact @pygameworld | ![]() |
|---|
| Data Science from Scratch: First Principles with Python |
|---|
| Analyzing 5 Junglers From Different Regions Who Won 2019.1 Split | ![]() |
|---|
| ✨ Introducing Plotly Express ✨ | ![]() |
|---|
para quem tiver uma duvida parecida, o link para resolver de forma simples.
| Extract indices of cells meeting criteria from pandas DataFrame |
|---|
| ChartJs Generator |
|---|
Tenho quase ctz que o você consegue um iframe dos gráficos
| Data Visualisation & Storytelling | ![]() |
|---|
Sebastian Raschka (@rasbt) tweetou: How come I've never seen that before! cuDF -- a DataFrame library analogous to pandas but with CUDA support:
| GPU DataFrame Library |
|---|
dá pra fazer basemap + animation do matplotlib ...
| Matplotlib Animation Tutorial |
|---|
(achei um exemplo legal)
| Global warming CONFIRMED (Basemap animation) |
|---|
Last Message ID: 67936
Parece interessante, com resumos de noticias e tecnologia não experimentei ainda, então não posso dizer com certeza absoluta.
| Newsletter | ![]() |
|---|
| Advanced NLP with spaCy · A free online course | ![]() |
|---|
| Master Data Analysis with Python - Intro to pandas | ![]() |
|---|
| 10 truques de Pandas que fazem o seu trabalho mais eficiente | ![]() |
|---|
| A CRIATIVIDADE COMO FRONTEIRA ENTRE HUMANO E INTELIGÊNCIA ARTIFICIAL | Roberto Vilhena | 
Bem legal! How do you actually get from the modelling code in your notebook to the stuff that goes in your (Flask) app?
| CareerCon: Making an app from your modeling code |
|---|
Confira o Tweet de @maartenzam:
| Why software projects take longer than you think – a statistical model | ![]() |
|---|
Diagrama interativo para ilustrar as principais etapas de Data Wrangling... Caso alguém se interesse!
| pmhaddad/ds_data_wrangling: Interactive diagrams about Data Wrangling Tasks |
|---|
Confira o Tweet de @TedPetrou:
| Text Mining with R | ![]() |
|---|
| Sobre BI, Ciência e Engenharia de Dados: Um olhar de perto, um olhar de longe | ![]() |
|---|
Last Message ID: 67666
Acho que você quer usar o .isin, para verificar se pertence a um determinado conjunto. Vê
| pandas.Series.isin — pandas 0.24.2 documentation |
|---|
Confira o Tweet de @ledell:
| Erin LeDell op Twitter: "New @DataCamp bombshell... 💣 Former DataCamp employees @dhavidearuliah and @gvwilson expressed their concerns over DC's handling of the sexual assault incident to management. | ![]() |
|---|
| CeMEAI abre inscrições para Escola e Workshop de Soluções Matemáticas | ![]() |
|---|
Achei uma API muito boa:
| Determine the gender of a first name |
|---|
| 99 APIs | ![]() |
|---|
Confira o Tweet de @rasbt:
| Sebastian Raschka op Twitter: "A great GitHub repository with tutorials on getting started with PyTorch and TorchText for sentiment analysis in Jupyter Notebooks. What a great resource! https: | ![]() |
|---|
Hoje de manhã:
| Participe da audiência pública que vai debater o uso de tecnologias de reconhecimento facial | ![]() |
|---|
Bom dia a todos, segue link da própria uDemy. Com avisos diários sobre cursos grauitos, promocionais entre outros assuntos:
| Telegram: Contact @DicasCursosUdemy | ![]() |
|---|
Confira o Tweet de @gdequeiroz:
| Gabriela de Queiroz op Twitter: "So far, I've only seen people & companies positioning themselves about the incident of sexual harassment at #DataCamp from the #rstats community. Where is the #python | ![]() |
|---|
| How Algorithms Know What You’ll Type Next | ![]() |
|---|
| TensorFlow Core |
|---|
| Building Interactive Dashboards with Jupyter | ![]() |
|---|
| Creating dashboard layouts — Jupyter Dashboards | ![]() |
|---|
| jupyter/dashboards: Jupyter Dashboards Layout Extension |
|---|
Confira o Tweet de @peteskomoroch:
| Peter Skomoroch op Twitter: "PolyAI is releasing a collection of conversational datasets consisting of hundreds of millions of examples https: | ![]() |
|---|
| Onde vive e onde não vive ninguém no Brasil |
|---|
Genteeee, tá rolando meetup de Engenharia de Dados ao vivo no link:
🤗
| 3º Meetup Engenharia de Dados | ![]() |
|---|
“Data version control with DVC. What do the authors have to say?” by Favio Vázquez
| https://link.medium.com/6om6VPYLWV |
|---|
| Plot correlation matrix using pandas |
|---|
| Clustering a correlation matrix |
|---|
| Peter Skomoroch op Twitter: "PolyAI is releasing a collection of conversational datasets consisting of hundreds of millions of examples https: | ![]() |
|---|
| How to Turn Your ggplot2 Visualization into an Interactive Tweet | ![]() |
|---|
Last Message ID: 67186
| A inteligência artificial é mesmo inteligente? | ![]() |
|---|
Top de linha galera 👌
| Introduction to Econometrics with R | ![]() |
|---|
| Unicamp encerra 2018 com 2ª maior receita vinda de royalties com transferência de tecnologia – CBN Campinas FM 99,1 | ![]() |
|---|
Talvez encontre algo aqui
| Text Visualization Browser |
|---|
| Demystifying the math and implementation of Convolutions: Part III | ![]() |
|---|
| Gentle Dive into Math Behind Convolutional Neural Networks | ![]() |
|---|
Pessoal, tem um arquivo em um repositório no meu github que coloquei links para desafios e competições, para quem quer aprender data science praticando. Para quem tiver interesse:
| CHALLENGES.md at master · gabriel19913 |
|---|
| goose-extractor | ![]() |
|---|
algum dia aqui perguntei sobre algo como uma taxonomia de arquitetura de dados, lembrei que vi isso aqui, talvez interesse a alguém:
| Mobile and Web Analytics |
|---|
| IDxWTCVd7D. This event will be the first time an AI has attempted to play the world champions in an esports game — and that won't be all we show today. https: | ![]() |
|---|
Um post mto interessante da The Economist sobre visualização de dados:
| Mistakes, we’ve drawn a few | ![]() |
|---|
😉
| Debian Backports |
|---|
Pessoal, achei muito legal esse vídeo explicando uma técnica de AI para gerar animações a partir de vídeo, a propósito, o canal como um todo tem ótimos vídeos sobre diversas pesquisas:
| This AI Learns Acrobatics by Watching YouTube | ![]() |
|---|
só que no meu caso, eu utilizei o
| Hiren's BootCD PE | ![]() |
|---|
| OpenAI’s Dota 2 AI steamrolls world champion e-sports team with back-to-back victories |
|---|
Confira esta vaga na MaxMilhas:
| MaxMilhas hiring Data Scientist in Belo Horizonte, BR |
|---|
em específico a função lineplotCI
| Creating Data Visualizations in Matplotlib | ![]() |
|---|
| Novas Ferramentas Python para Análise de Dados — Ciência e Dados | ![]() |
|---|
Confira esta vaga na GOL Linhas Aéreas Inteligentes:
| GOL Linhas Aéreas Inteligentes hiring Coordenador Cientista de Dados (Modelagem) in São Paulo, São Paulo, Brasil |
|---|
| Pushshift has a new endpoint in alpha for creating data visualizations : pushshift |
|---|
Confira o Tweet de @amuellerml:
| Writing your own flavor of Pandas • Zach Sailer |
|---|
Last Message ID: 66916
Confira o Tweet de @pwang:
| Peter Wang op Twitter: "That sure looks like a Matplotlib window :-) @tacaswell… " | ![]() |
|---|
| They use python to produce black hole image |
|---|
sobre a imagem do buraco negro
| achael/eht-imaging: Imaging, analysis, and simulation software for radio interferometry |
|---|
github da katie
| klbouman · GitHub |
|---|
“Vaex: A DataFrame with super-strings” by Maarten Breddels
| https://link.medium.com/OAtZ7d5ONV |
|---|
Queria compartilhar com vocês. Fizemos uma investigação no Colaboradados e identificamos algo muito curioso: portais da transparencia que fazem mineração de moedas em computadores de usuários. Detalhe: com direito a propaganda de sites de criptomoedas. Quando a gente pensa que já viu tudo...
“Pandas tricks and tips” by Adrian G
| https://link.medium.com/sdHIIi9eOV |
|---|
| Random Forests for Complete Beginners | ![]() |
|---|
| Machine learning, algoritmos e poder dos dados são apostas da OLX | ![]() |
|---|
Pessoas propondo usar como mérito pelo projeto o número de linhas escritas por pessoa.
| Katie Bouman should not be getting credit for the picture if the black hole : unpopularopinion |
|---|
| Organisation for Economic Co-operation and Development | ![]() |
|---|
| Get faster pandas with Modin, even on your laptops. | ![]() |
|---|
Achei caro, mas deve ser bem legal:
| Robot Check |
|---|
| Fundamentals of Data Visualization | ![]() |
|---|
| achael/eht-imaging: Imaging, analysis, and simulation software for radio interferometry |
|---|
| Excellent Periodic Table of Visualizations for Teachers | ![]() |
|---|
Last Message ID: 66605
Esse artigo bem interessante que trata de distribuição de Poisson faz referência a um dataset de todos os jogos internacionais de futebol que ocorreram de 1872 a 2018.
| The Poisson Distribution |
|---|
Nunca trabalhei com tacômetros, achei isso aqui: Parece bem interessante.
| Extract RPM signal from tachometer pulses | ![]() |
|---|
saiu a Developer Survey 2019 do Stack Overflow
| Stack Overflow Developer Survey 2019 | ![]() |
|---|
| Análise de dados com Python e Pandas[parte 3] - Criando visualização de dados |
|---|
ah sim, aí usa o extract
| Working with Text Data — pandas 0.24.2 documentation |
|---|
| bulutyazilim/awesome-datascience: An awesome Data Science repository to learn and apply for real world problems. |
|---|
Simulei milhões de futuros dos Vingadores em uma visualização que suponho ter sido o que o doutor estranho viu no filme anterior. O código está junto para quem quiser modificar...
| Visualizando diversos futuros simultaneamente | ![]() |
|---|
| EstaTiDados) on LinkedIn: "O orçamento do Censo não está garantido e existe uma proposta de enxugamento de 25% O Censo Custa 16 reais por pessoa e só ocorre a cada dez anos. O Censo é um investimento |
|---|
| As inscrições para o Curso Data Science do Zero da Minerando Dados vão até sexta(12) | ![]() |
|---|
| Dremio is the Data-as-a-Service Platform. | ![]() |
|---|
Oferta muito boa da FGV para quem pesquisa sobre Humanidades Digitais e "Data Science":
| https://cpdoc.fgv.br/sites/default/files/cursos/posgraduacao/arq/Call_for_Applications-Computational_Social_Sciences.pdf |
|---|
| Applied Text Mining in Python | ![]() |
|---|
Confira o Tweet de @podtecnopol:
Confira o Tweet de @pwang:
| Peter Wang op Twitter: "That sure looks like a Matplotlib window :-) @tacaswell… " | ![]() |
|---|
Para os mais entusiasmados com o assunto tem esse post.
| Raytracing a Black Hole | ![]() |
|---|
| achael/eht-imaging: Imaging, analysis, and simulation software for radio interferometry |
|---|
no git dela não tem 😢
| klbouman · GitHub |
|---|
Faltam apenas 2 dias!!! Clique no link e garanta seu ingresso. Faça já sua inscrição:
Davidson B. Sales Desenvolvedor de sistemas, BI e processos.
Entusiasta e evangelizador de tecnologias livres, técnico em eletrônica, Tecnólogo em Analise de sistemas, graduando em Eng. da Computação, especializando em tecnologias de banco de dados e BI. Neste talk hands-on iremos apresentar uma das principais ferramentas de ETL disponível no mercado (se não a principal!) como consumir dados da API-Facebook e gravar em um arquivo para livre manipulação! O Pentaho Data Integration é uma ferramenta para integração de dados, responsável pelo processo de Extração, Transformação e Carga (ETL). Ferramentas ETL são utilizadas mais frequentemente em projetos de data warehouse, mas também podem ser utilizadas para outros propósito."
LOCAL: Av. Heráclito Graça, 826 - Centro, Fortaleza - CE, Faculdade Ari de Sá
Seja um apoiador do projeto, divulgue e nos ajude tornar toda a magia de trabalhar com dados mais acessível a toda a sociedade!!!
#datascienceeducation #datascience #bigdata #machinelearning #technology #data #datascientist #ai #analytics #datascientists #businessintelligence #events #itgirl #girls #IOT #OLAP #pentaho #pdi #powebi
A FAPESP já faz isso:
| Chamada de Propostas para o Programa PIPE |
|---|
http://anpei.org.br/anpeinews/noticia-717-2/
Last Message ID: 66316
| Tá rolando a Semana de Data Science, você vai ficar de fora? | ![]() |
|---|
Solicito a todos os já inscritos, palestrantes,membros da comunidade Pentaho e simpatizantes que compartilhem! em busca das 500 Inscrições neste final de semana!
#pentaho #pentahoday #pentahodaybrasil
| Pentaho Day 2019 • Maio 10 e 11 • Curitiba, Brasil | ![]() |
|---|
From Discover on Google
| Deep learning to identify Malaria cells using CNN on Kaggle |
|---|
Achei esse artigo, caso alguém tenha interesse
| [1808.08474] Taxonomy of Big Data: A Survey |
|---|
add:@packtfreebot by:@newtongaliza
| Free Programming eBooks from Packt |
|---|
| Python para Finanças: Investimentos & Análise de Dados | ![]() |
|---|
Evento para o fortalecimento de IA e ML na América Latina, submissões de projetos aberta (conta com ajuda de custo).
Será realizado em Montevidéu, Uruguai
| LATIN AMERICAN MEETING IN ARTIFICIAL INTELLIGENCE |
|---|
| Lobistas de bancos, indústrias e transportes estão por trás das emendas da Reforma Trabalhista | ![]() |
|---|
| Python Pandas: Tricks & Features You May Not Know – Real Python | ![]() |
|---|
| Não gosto do Jupyter Notebook | ![]() |
|---|
| Using SQLAlchemy to navigate an existing database |
|---|
| EstaTiDados) on LinkedIn: "Fala galera! Demorou, mas saiu! Segundo Sorteio Big data Brasil Day! Obrigado a todos que participaram! Acompanhem os sortudos que ganharam 3 blusas e 3 ingressos para esse |
|---|
Check out @fecampa’s Tweet:
| Fernanda Campagnucci op Twitter: "Parece coisa de 1º de abril, mas não é. É a história de porque defendemos #transparência e software #opensource em governo, em seu capítulo mais pedagógico possível. | ![]() |
|---|
| Data Meeting da Confraria dos Dados - Capítulo Abril/2019 |
|---|
Binder allows you to create custom computing environments that can be shared and used by many remote users. It is powered by BinderHub, which is an open-source tool that deploys the Binder service in the cloud. One-such deployment lives here, at mybinder.org, and is free to use. For more information about the mybinder.org deployment and the team that runs it, see About mybinder.org.
| Binder Documentation — Binder 0.1b documentation |
|---|
do próprio site
| Webservice de Dados de CNPJ |
|---|
| a maior comunidade de data science do Brasil | ![]() |
|---|
Boa noite Bruno, depende muito do dado.. mas se for processamento de texto vi esse artigo aqui que mandaram no outrou grupo muito bom:
| https://link.medium.com/V9y8zTMSsV |
|---|
Confira o Tweet de @TedPetrou:
Dá uma olhada aqui
| Start Here With Machine Learning | ![]() |
|---|
Datacamp tá só pegando fogo:
| Have I Been Pwned op Twitter: "New breach: DataCamp had 760k records breached in 2017. Exposed data included email and IP addresses, names and passwords stored as bcrypt hashes. 68% of addresses were | ![]() |
|---|
Last Message ID: 66006
Alguém de UX por aqui? Oportunidade PNUD/STN
| Oportunidades |
|---|
Confira o Tweet de @WRosarioCGU:
| Wagner Rosário op Twitter: "Reunião bastante produtiva no gabinete do líder do governo na Câmara, @MajorVitorHugo. Parcerias futuras com a comunidade Deep Learning Brasil, ligada à @ufg | ![]() |
|---|
| R-Ladies Belo Horizonte - 1 Year :) | ![]() |
|---|
Crianças japonesas estudarão programação desde o ensino fundamental -
| Crianças japonesas estudarão programação desde o ensino fundamental | ![]() |
|---|
Na pegada de pandas em paralelo, outra solução hehehe:
| Get faster pandas with Modin, even on your laptops. | ![]() |
|---|
| Órgãos públicos usam inteligência artificial para combater corrupção | ![]() |
|---|
| Google Open Source op Twitter: "Time is running out! Only 5 days to submit your student applications for the 2019 Summer of Code. Deadline is April 9, 2019 @ 18:00 UTC. Don't wait! https: | ![]() |
|---|
| Auditoria Analítica em Internações SUS |
|---|
| just moomin 🏳️🌈🏴 op Twitter: "DataCamp quietly published a "community" post today, in which they admit an executive sexually assaulted ("uninvited physical contact") an employee. https: | ![]() |
|---|
Dá uma olhada achei bacana
| Social Media Data Analytics | ![]() |
|---|
| Homepage |
|---|
| SQL at Scale with Apache Spark SQL and DataFrames — Concepts, Architecture and Examples | ![]() |
|---|
| You elected them to write new laws. They’re letting corporations do it instead. |
|---|
lembrei disso aqui “How the NSA identified Satoshi Nakamoto” by Alexander Muse
| https://link.medium.com/ZBy5F7XmEV |
|---|
| Introduction to Multiprocessing in Python | ![]() |
|---|
Confira o Tweet de @danielballan:
Ótimo E-book para quem está começando no mundo do Data Science do site
| Data Science Academy | ![]() |
|---|
| Scientists rise up against statistical significance | ![]() |
|---|
Last Message ID: 65700






































































































































































:strip_icc()/s.glbimg.com/jo/g1/f/original/2012/06/11/isdbvi7w.jpg)




















































































































































:strip_icc()/i.s3.glbimg.com/v1/AUTH_59edd422c0c84a879bd37670ae4f538a/internal_photos/bs/2019/8/W/BYecJaSf2N7piB1MmEzg/d41586-019-01328-x-16672810.jpg)





















































































































