- Introduction
- Quiz
- Complete terms table
- Spliterator characteristics table
- Collections characteristics table
- Stream methods characteristics table
- Stream class methods
- Collectors class methods
- Spliterator interface methods
- Optional class methods
- Legal
In this tutorial, we will cover the stream library from the basic operations and learn each relevant classes. The tutorial designates to developers with absolutely no experience with streams to more experienced developers who want to clarify their knowledge. Throughout this series, I will introduce new phrases and explain more deeply each Java stream method.
At the end of the tutorial, the reader will have all the necessary information about how each operation works and how to build a query that uses everything stream can give you.
Requirements
It is highly recommended that you will have basic knowledge about templates Also, a full understanding of lambda expressions is a must.
Lambda Expressions In Depth By Stav Alfi
The Answers are at the end of the quiz.
Name one difference between the following pipes. Do they print the same output? If yes, which version would you prefer - name one reason.
Stream.of(1, 2, 3)
.map((Integer number) -> number * 10)
.findFirst()
.ifPresent((Integer number) -> System.out.println(number));
Stream.of(1, 10, 100, 1000)
.findFirst()
.map((Integer number) -> number * 10)
.ifPresent((Integer number) -> System.out.println(number));Name one difference between the following pipes. Do they print the same output? If yes, which version would you prefer - name one reason.
Stream.of(1, 2, 3)
.filter((Integer number) -> number > 1)
.findFirst()
.ifPresent((Integer number) -> System.out.println(number));
Stream.of(1, 10, 100, 1000)
.findFirst()
.filter((Integer number) -> number > 1)
.ifPresent((Integer number) -> System.out.println(number));Does the following code compile? If yes, what does it print? If not, what is the reason and Java implementors didn't allow it?
Stream.of(1, 2, 3)
.filter((Integer number) -> number > 1)
.findFirst()
.sorted()
.ifPresent((Integer number) -> System.out.println(number));What methods must the Person class implement to make the following code works? (I mean, what sorted operation invokes in Person class?)
Stream.of(new Person(1), new Person(2))
.sorted()
.findFirst()
.ifPresent((Person person) -> System.out.println(person));What does the following code prints? Could we made it more readable?
Predicate<Integer> p1 = (Integer number) -> number % 2 == 0;
Predicate<Integer> p2 = (Integer number) -> number % 3 == 0;
Stream.of(1, 2, 3)
.peek((Integer number) -> System.out.println(number))
.filter(p1.and(p2)) // <<<----- and
.forEach((Integer number) -> System.out.println(number));What does the following code prints? Could we made it more readable?
Predicate<Integer> p1 = (Integer number) -> number % 2 == 0;
Predicate<Integer> p2 = (Integer number) -> number % 3 == 0;
Stream.of(1, 2, 3)
.peek((Integer number) -> System.out.println(number))
.filter(p1.or(p2)) // <<<----- or
.forEach((Integer number) -> System.out.println(number));What does the following code prints?
Stream<Integer> stream1 = Stream.of(1, 2)
.peek((Integer number) -> System.out.println(number));
Stream<Integer> stream2 = Stream.of(1, 2)
.peek((Integer number) -> System.out.println(number));
stream1.flatMap(number -> stream2.filter(x -> x != number))
.forEach((Integer number) -> System.out.println(number));How can you improve the readability of the following pipeline:
List<Integer> l1 = Arrays.asList(1,2,3,4,5);
int sum1 = Arrays.asList(l1,l1,l1)
.stream()
.flatMap(list1 -> list1.stream()
.map((Integer x) -> x * 10)
.peek(System.out::println)
)
.mapToInt(x->x)
.sum();Does both the pipelines print the same elements in the same order? Is it the encounting order?
List<Integer> l1 = Arrays.asList(1,1,2,2);
Arrays.asList(l1,l1,l1)
.stream()
.flatMap(list1 -> list1.stream()
.sorted()
.distinct()
)
.forEach(System.out::println)
Arrays.asList(l1,l1,l1)
.stream()
.flatMap(list1 -> list1.stream())
.sorted()
.distinct()
.forEach(System.out::println)Does this code compile?
List<Integer> l1 = Arrays.asList(1,1,2,2);
Arrays.asList(l1,l1,l1)
.stream()
.flatMap(list1 -> list1.stream())
.mapToInt(Function.identity())
.forEach(System.out::println);
// the source code of Function.identity():
//
// static <T> Function<T, T> identity() {
// return t -> t;
// }Can we improve the readability and the safety of the following code?
List<Integer> list1=new ArrayList<>();
// list1 is used only after the following code is done.
// your co-worker says that this pipeline has no
// reason/can't run for some reason in parallel.
Stream.of(1,2,3,4,5)
.filter(x->x>3)
.peek(x-> callingHeavyFunction(x))
.sorted()
.forEach(x-> list1.add(x));Write a Map collector in the following way (implement the Collector interface):
- The keys are the elements from the calling stream.
- The values are
List<T>.Tis the type of the elements from the calling stream. - Each list accept only five items at most.
Name one difference between the following pipes. Do they print the same output? If yes, which version would you prefer - name one reason.
Stream.of(1, 2, 3)
.map((Integer number) -> number * 10)
.findFirst()
.ifPresent((Integer number) -> System.out.println(number));
Stream.of(1, 10, 100, 1000)
.findFirst()
.map((Integer number) -> number * 10)
.ifPresent((Integer number) -> System.out.println(number));The difference is while the first pipeline run map on Stream<Integer>, the second pipeline run map on Optional<Integer>.
map only creates a new stream with new content with each cell. so if map operation is running on a Stream with 0+ elements or an Optional with 0-1 elements, we will get the same result.
I would prefer the first one because for after the findFirst operation, we are not operating on stream anymore, so the operation findFirst is a delimiter between Stream pipeline and optional pipeline. My recommendation is to highlight this delimiter by locating it as low as we can because the amount of operation in Optional pipeline is small.
Name one difference between the following pipes. Do they print the same output? If yes, which version would you prefer - name one reason.
Stream.of(1, 2, 3)
.filter((Integer number) -> number > 1)
.findFirst()
.ifPresent((Integer number) -> System.out.println(number));
Stream.of(1, 10, 100, 1000)
.findFirst()
.filter((Integer number) -> number > 1)
.ifPresent((Integer number) -> System.out.println(number));The difference is while the first pipeline run filter on Stream<Integer>, the second pipeline run filter on Optional<Integer>.
Both the pipelines calculate different results. The first will print 2 and the second will print nothing.
Does the following code compile? If yes, what does it print? If not, what is the reason and Java implementors didn't allow it?
Stream.of(1, 2, 3)
.filter((Integer number) -> number > 1)
.findFirst()
.sorted()
.ifPresent((Integer number) -> System.out.println(number));The code doesn't compile because Optional class doesn't have sorted method. The reason for that is because Optional instance represents an amount of 0-1 elements, so there is no point in sorting them.
What methods must the Person class implement to make the following code works? (I mean, what sorted operation invokes in Person class?)
Stream.of(new Person(1), new Person(2))
.sorted()
.findFirst()
.ifPresent((Person person) -> System.out.println(person));Person class need to implement Comparable functional interface.
public class Person implements Comparable<Person> {
private int id;
public Person(int id) {
this.id = id;
}
public int getId() {
return id;
}
@Override
public int compareTo(Person person) {
Objects.requireNonNull(person);
if (getId() == person.getId())
return 0;
else if (getId() > person.getId())
return 1;
return -1;
}
}What does the following code prints? Could we made it more readable?
Predicate<Integer> p1 = (Integer number) -> number % 2 == 0;
Predicate<Integer> p2 = (Integer number) -> number % 3 == 0;
Stream.of(1, 2, 3)
.peek((Integer number) -> System.out.println(number))
.filter(p1.and(p2)) // <<<----- and
.forEach((Integer number) -> System.out.println(number));The above code does not print anything. Only elements which divide by 2 and three will pass the filter operation. That means that only items which divided by six will. There any no such elements here, so nothing is printed.
We could write it in different way (Personally, I would prefer the way it was in the question):
Predicate<Integer> p1 = (Integer number) -> number % 2 == 0;
Predicate<Integer> p2 = (Integer number) -> number % 3 == 0;
Stream.of(1, 2, 3)
.peek((Integer number) -> System.out.println(number))
.filter(p1)
.filter(p2)
.forEach((Integer number) -> System.out.println(number));In case we are not using p1 and p2 anywhere else in our code, we could write the following:
Stream.of(1, 2, 3)
.peek((Integer number) -> System.out.println(number))
.filter((Integer number) -> number % 6 == 0)
.forEach((Integer number) -> System.out.println(number));What does the following code prints? Could we made it more readable?
Predicate<Integer> p1 = (Integer number) -> number % 2 == 0;
Predicate<Integer> p2 = (Integer number) -> number % 3 == 0;
Stream.of(1, 2, 3)
.peek((Integer number) -> System.out.println(number))
.filter(p1.or(p2)) // <<<----- or
.forEach((Integer number) -> System.out.println(number));It will print:
2
3The reason is similar to the last answer. But here we could not break it down to 2 filter operations because it will be equal to and.
In case we are not using p1 and p2 anywhere else in our code, we could write the following:
Stream.of(1, 2, 3)
.peek((Integer number) -> System.out.println(number))
.filter((Integer number) -> number % 2 == 0 || number % 3 == 0)
.forEach((Integer number) -> System.out.println(number));What does the following code prints?
Stream<Integer> stream1 = Stream.of(1, 2)
.peek((Integer number) -> System.out.println(number));
Stream<Integer> stream2 = Stream.of(1, 2)
.peek((Integer number) -> System.out.println(number));
stream1.flatMap(number -> stream2.filter(x -> x != number))
.forEach((Integer number) -> System.out.println(number));It would print the following if and only if Java would allow using the same stream (stream2) more than once:
1
1
2
2
2
1
1
2But because Java doesn't allow it, then it would print:
"java.lang.IllegalStateException: stream has already been operated upon or closed.."How can you improve the readability of the following pipeline:
List<Integer> l1 = Arrays.asList(1,2,3,4,5);
int sum1 = Arrays.asList(l1,l1,l1)
.stream()
.flatMap(list1 -> list1.stream()
.map((Integer x) -> x * 10)
.peek(System.out::println)
)
.mapToInt(x->x)
.sum();Each node of l1 is a list. Inside the flatMap method we return every inner list of l1 with a minor change on each element. All in all, all the items in all the inner lists will be changed in the same way so we can do that change outside of the flat map.
List<Integer> l1 = Arrays.asList(1,2,3,4,5);
int sum1 = Arrays.asList(l1,l1,l1)
.stream()
.flatMap(list1 -> list1.stream())
.mapToInt((Integer x) -> x * 10)
.peek(System.out::println)
.sum();Does both the pipelines print the same elements in the same order? Is it the encounting order?
List<Integer> l1 = Arrays.asList(1,1,2,2);
Arrays.asList(l1,l1,l1)
.stream()
.flatMap(list1 -> list1.stream()
.sorted()
.distinct()
)
.forEach(System.out::println)
Arrays.asList(l1,l1,l1)
.stream()
.flatMap(list1 -> list1.stream())
.sorted()
.distinct()
.forEach(System.out::println)No, inside the first pipeline, the flatMap flat the following lists: 1,2,1,2,1,2to: 1,2,1,2,1,2,1,2 and then print it. The second pipeline sort the elements from all the origin inner lists : 1,1,2,2,1,1,2,2,1,1,2,2 to 1,1,1,1,1,1,2,2,2,2,2,2and then call distinct(): 1,2 and then print it.
List<Integer> l1 = Arrays.asList(1,1,2,2);
Arrays.asList(l1,l1,l1)
.stream()
.flatMap(list1 -> list1.stream())
.mapToInt(Function.identity())
.forEach(System.out::println);
// the source code of Function.identity():
//
// static <T> Function<T, T> identity() {
// return t -> t;
// }The code doesn't compile. mapToInt receive a lambda which gets an Integer and returns int. Since Integer isn't int then we can't use Function.identity(); The parameter type does not equal the return type.
Can we improve the readability and the safety of the following code?
List<Integer> list1=new ArrayList<>();
// list1 is used only after the following code is done.
// your co-worker says that this pipeline has no
// reason/can't run for some reason in parallel.
Stream.of(1,2,3,4,5)
.filter(x->x>3)
.peek(x-> callingHeavyFunction(x))
.sorted()
.forEach(x-> list1.add(x));Yes. list1 is used only after filling him, so there is no reason to declare list before the stream. We should convert the stream to a list using Collectors.toList(). Also, this code does not support parallelism. Even if callingHeavyFunction function does not support parallelism now, it can happen in the future. We should write uniform pipelines.
Write a Map collector in the following way (implement the Collector interface):
- The keys are the elements from the calling stream.
- The values are
List<T>.Tis the type of the elements from the calling stream. - Each list accept only five items at most.
--missing--
Definition 1.1. Pipeline is a couple of methods that will be executed by a specific order.
Definition 1.2. Intermidiate operations will be located everywhere in the stream expect at the end. They return a stream object and does not execute any procedure in the pipeline.
Definition 1.3. terminal operations will be located only at the end of the stream. They execute the pipeline. They do not return stream object so no other_Intermidiate operations_ or terminal operations can be added after them.
Definition 1.4. Intermediate operations will be called short-circuiting operation if that operation produces a new stream with a finite amount of elements from
nelements wherencan be an infinite number.
Definition 1.5. Terminal operations will be called short-circuiting operation if it can finish his execution after a finite amount of time.
Definition 5.1. Reduce-left operation determine the first temporary result will be the first element in the collection from the left and the reduce operation will visit each item in the collection that he didn't visit yet from left to right.
Definition 5.2. Reduce-right operation determine the first temporary result will be the first element in the collection from the right, and the reduce operation will visit each item in the collection that he didn't visit yet from right to left.
Definition 8.1. Cuncurrent programming is the ability to solve a task using additional synchronization algorithms.
Definition 8.2. Parallel programming is the ability to solve a task without using additional synchronization algorithms.
Definition 1. side-effect is a concept where a function mutates varaibles which are not defined in the function scope.
Definition 2. A pure function is a function's return value that is only dependent on the input parameters. Also, Evaluating the result does not mutate the current state of the app or causing any side-effects.
Definition 3. Lambda Expression equals to object of a local class implements an existing Functional Interface. The lambda is the implementation of the single instance method in that interface. Lambda Expression is a function with zero or more parameters and a body that will be (or not) executed at a later stage. We have access to its free variables inside the body.
| Characteristic | |
|---|---|
CONCURRENT |
It's possible to modify (delete/insert/replace elements) the source of the spliterator concurrently without any additional synchronization. |
NONNULL |
The source of the spliterator can't insert null elements, so each of the elements is guaranteed to be a non-null value. |
IMMUTABLE |
The source of the spliterator prohibit modification (delete/insert/replace elements). |
DISTINCT |
For each 2 different elements x and y in the source of the spliterator we can tell that x.equals(y) == false. |
ORDERED |
If we print the elements in the source of the spliterator multiple times by iterating it, we will print the elements in the same order time after time. That means all the elements are stored in the source of the spliterator in a specific order. We can refer to that situation by specifying that the source of the spliterator has encounting order. For example: Array, List,Stuck has encounting order but HashMap doesn't. We can't iterate over HashMap. |
SORTED |
The source of the spliterator is ordered by a comparator or in the natural order. |
SIZED |
We know the estimated amount of iterations left in the spliterator. |
SUBSIZED |
If we split the task into two chunks, we would know the estimated amount of iterations each spliterator would have. Note: If SUBSIZED is on, then SIZED also. The reason is if we know how many iterations will be needed after the split for each spliterator, we must know first how many iterations left without splitting in the first place. The claim doesn't follow for the opposite direction as mentioned above. For example - binary trees. |
The following table list all the characteristics of each collection's spliterator.
ORDERED |
DISTINCT |
SORTED |
SIZED |
NONULL |
IMMUTABLE |
CONCURRENT |
SUBSIZED |
|
|---|---|---|---|---|---|---|---|---|
Stream.of |
I |
I |
I |
I |
||||
Arrays.asList |
I |
I |
I |
|||||
HashSet |
I |
I |
||||||
ArrayList |
I |
I |
I |
|||||
ArrayDeque |
I |
I |
I |
I |
||||
ArrayBlockingQueue |
I |
I |
I |
|||||
ArrayDeque |
I |
I |
I |
I |
||||
ConcurrentLinkedDeque |
I |
I |
I |
|||||
ConcurrentLinkedQueue |
I |
I |
I |
|||||
DelayQueue |
I |
I |
||||||
CopyOnWriteArraySet |
I |
I |
I |
I |
||||
CopyOnWriteArrayList |
I |
I |
I |
I |
||||
ConcurrentSkipListSet |
I |
I |
I |
I |
I |
|||
LinkedBlockingDeque |
I |
I |
I |
|||||
LinkedBlockingQueue |
I |
I |
I |
|||||
LinkedHashSet |
I |
I |
I |
I |
||||
LinkedList |
I |
I |
I |
|||||
Stack |
I |
I |
I |
|||||
RoleUnresolvedList |
I |
I |
I |
|||||
RoleList |
I |
I |
I |
|||||
PriorityQueue |
I |
I |
I |
|||||
PriorityBlockingQueue |
I |
I |
I |
|||||
LinkedTransferQueue |
I |
I |
I |
|||||
SynchronousQueue |
I |
I |
||||||
TreeSet |
I |
I |
I |
I |
||||
Vector |
I |
I |
I |
I- Injects.
The following table shows which characteristics and flags each intermediate operation may turn on and off: (SHORT_CIRCUIT is relevant only in the context of StreamOpFlag flags)
| DISTINCT | SORTED | ORDERED | SIZED | SHORT_CIRCUIT | |
|---|---|---|---|---|---|
filter |
C |
||||
forEach |
C |
||||
forEachOrdered |
|||||
allMatch |
C |
I |
|||
distinct |
I |
C |
|||
flatMap |
C |
C |
C |
||
anyMatch |
C |
I |
|||
collect |
|||||
unOrdered |
C |
||||
count |
C |
C |
C |
C |
|
findAny |
C |
I |
|||
findFirst |
I |
||||
flatMapToXXX |
C |
C |
C |
||
limit |
C |
I |
|||
map |
C |
C |
|||
mapToXXX |
C |
C |
|||
max |
|||||
min |
|||||
noneMatch |
C |
I |
|||
peek |
|||||
reduce |
|||||
skip |
C |
I |
|||
sorted |
I |
I |
|||
toArray |
C- May clears.I- May injects.
I will refer to Spliterator characteristics as flags inside StreamOpFlag enum. That is because only the flags defined there are currently used in stream library.
void forEach(Consumer<? super T> action) |
|---|
The forEach method will run action function on each element in the stream. The order of elements which sent to action is not defined in parallel execution. Also using this method in sequential execution, it is best practice to assume the order of elements which sent to action is not defined as well. |
| Terminal operation |
|---|
| Stateless operation |
|---|
// example:
Arrays.asList(1,2,3)
.parallelStream()
.forEach(System.out::println);
// possible output:
// 3
// 1
// 2void forEachOrdered(Consumer<? super T> action) |
|---|
The forEachOrdered method will run action function on each element in the stream and the order which elements from the calling stream are sending to action is defined by encounting order if exist. Else the order of elements in the calling stream. Note: If element n (by order of the calling stream) did not reach yet to the forEachOrdered operation, any other element m > n which came to forEachOrdered will have to wait. |
| Terminal operation |
|---|
| Statelful operation |
|---|
// example 1:
Arrays.asList(1,2,3)
.parallelStream()
// the encounting order is still 1,2,3
.forEachOrdered(System.out::println);
// output:
// 1
// 2
// 3
// example 2:
Arrays.asList(3,1,2)
.parallelStream()
// encounting order is 3,1,2
.sorted()
// encounting order is 1,2,3 because sorted operation determine new order.
.forEachOrdered(System.out::println);
// output:
// 1
// 2
// 3<R> Stream<R> map(Function<? super T,? extends R> mapper) |
|---|
| The map method is meant to create from each element in the stream a new element. The type of the new element can be different from the old element. |
| Modify flags: | DISTINCT - C |
SORTED - C |
|---|
| Intermediate operation |
|---|
| Stateless operation |
|---|
// example 1:
Arrays.asList(1,2,3)
.stream()
.map((Integer x)->x+4)
.forEach(System.out::println);
// output:
// 5
// 6
// 7
// example 2:
collection1.stream()
.map((Integer x)->"hi"+x)
.forEach(System.out::println);
// output:
// hi1
// hi2
// hi3Stream<T> filter(Predicate<? super T> predicate) |
|---|
| The filter operation will determine for each element in the stream if that element will stay or not. The method will run on each element in the stream and check using a condition specified in the predicate function if the element should be in the next stream. The next stream will contain all the elements from the last stream that predicate return true for them. |
| Modify flags: | SIZED - C |
|---|
| Intermediate operation |
|---|
| Stateless operation |
|---|
// example:
Arrays.asList(1,2,3).stream()
.filter((Integer x)-> x > 1)
.forEach(System.out::println);
// output:
// 2
// 3Stream<T> peek(Consumer<? super T> action) |
|---|
| Peek will run an action on each element of the stream and will return a stream containing the same elements. This operation is mainly to support debugging. For example, we can print the elements after each operation in the pipeline to see how the stream is calculating the elements. Also, it can be used for side effects. |
| Intermediate operation |
|---|
| Stateless operation |
|---|
// example:
Arrays.asList("aaa","bbb")
.stream()
.filter((String str1)->str1.contains("a"))
.peek(System.out::println)
.map((String str1)->str1.concat("ccc"))
.forEach(System.out::println);
// output:
// aaa
// aaacccStream<T> sorted() |
|---|
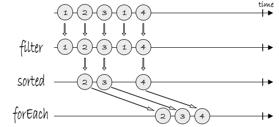
The sorted method is an intermediate operation and it will create a new stream in which all his elements are sorted according to by natural order. T must implement Comparable interface so you can override int Comparable.compareTo(T o). The sorted method can't send every element it gets to the next operation in the pipeline because the order of the elements is matters and there is a chance that sorted will receive element in the future with smaller value, so this element should be sent first to the next operation in the pipeline. sorted use a temporary collection to store all the elements it gets and he starts sorting them from the time it gets executed. |
| Notes: |
- If the calling stream is sorted by any other order, then this method will clear the
SORTEDflag and re-inject it after it sorts the incoming elements by natural order. - When
ORDEREDflag is on, For every two elements which are equal by natural order, the first element appears in the encounter order will enter to the output stream and the second will be filtered out.
| Modify flags: | SORTED - CI |
ORDERED - I |
|---|
| Intermediate operation |
|---|
| Statelful operation |
|---|
// example:
Arrays.asList(1,2,3,1,4).stream()
.filter((Integer x)-> x>1)
.sorted()
.forEach(System.out::println);
// Out put:
// 2
// 3
// 4Stream<T> limit(long maxSize) |
|---|
The limit method is an intermediate operation that will create a new stream contains at most n elements where n=maxSize. When n elements passed him, or the last operation can't give more to limit, limit will end the execution of the all the stream. When ORDERED flag is on, limit will wait for the first n elements in the encounter order. It means that in case every element entered the limit operation except the first n elements, all those elements will wait there until the first n elements in the encounter order will come or m elements from the first n will be filtered out during the process until the limit operation. In this case, the first m elements after the first n elements in the encounter order will pass the limit operation. |
| Modify flags: | SIZED - C |
SHORT_CIRCUIT - I |
|---|
| Intermediate operation |
|---|
| Statelful operation |
|---|
// example 1:
Arrays.asList(1,2,3,4,5).stream()
.limit(2)
.filter((Integer x)-> x > 1)
.forEach(System.out::println);
// Out put:
// 2// example 2: (filter and limit swapped)
Arrays.asList(1,2,3,4,5).stream()
.filter((Integer x)-> x > 1)
.limit(2)
.forEach(System.out::println);
// Out put:
// 2<A> A[] toArray(IntFunction<A[]> generator) |
|---|
The toArray method is a terminal operation that will return a new array of type A containing all the elements from the last operation in the pipeline. If SIZED flag is on, then the size of the generated array is known when toArray operation starts. In this case, it will initialize an array with the exact amount of cells needed. If SIZED is off then toArray will guess how many spaces it needs in the array and it may be a case when he initializes an array with fewer cells then he needs so multiple initializations will be done. Each time it will copy the elements from the last array to the new array. generator receives Integer n and must return A[]. The array length must be at list equal to n. |
| Teminal operation |
|---|
| Statelful operation |
|---|
// example:
Integer[] array=Arrays.asList(3,2,1).stream()
.sorted()
// the following line is eqivalent to:
//.toArray(Integer[]::new);
.toArray((int n)->new Integer[n]);
Arrays.stream(array).forEach(System.out::println);
// output:
// 1
// 2
// 3IntStream mapToInt(ToIntFunction<? super T> mapper) |
|---|
Same as map operation, this method receive a function mapper whos return type is Integer. The return stream is a special stream with built-in functions to deal with Integer elements. |
| Modify flags: | DISTINCT - C |
SORTED - C |
|---|
| Intermediate operation |
|---|
| Stateless operation |
|---|
// example:
Arrays.asList(3,2,1).stream()
// notice that map get function with Integer
// parameter because the parameter type is
// generic and the return type must be
// int because we convert the stream to IntStream.
// the following line is equivalent to:
// .mapToInt(Integer::intValue)
.mapToInt((Integer x)-> x)
// notice that map get function with int
// parameter instead of Integer and the
// return type must be int.
.map((int x)->x*10)
.forEach(System.out::println);
// output:
// 30
// 20
// 10Optional<T> findAny() |
|---|
The findAny method is a terminal operation that will return one element from the caller stream inside an Optional object. This operation may return a different element for each execution without giving any consideration to the encounter order (if it exists). In case the caller stream is empty for any reason, return an empty Optional<T> object. This operation has much better performance than findFirst because it will return the first element came to it and it does not guarantee to return the first element in the calling stream. |
| Modify flags: | ORDERED - C |
SHORT_CIRCUIT - I |
|---|
| Terminal operation |
|---|
| Stateless operation |
|---|
// example:
Arrays.asList(14,13,12,11,10)
.stream()
.sorted()
.findAny()
.map((Integer element)-> element * element)
.ifPresent(System.out::println);
// possible output:
// 100T reduce(T identity, BinaryOperator<T> accumulator) |
|---|
In a synchronized execution, the reduce operation use the identity value only once as an initial temporary result. The calculating is the same as the first overload we saw. In case of parallel running, it will work as described above. In case the calling stream doesn't have any elements, the reduce method return the identity value as a result. |
| Terminal operation |
|---|
| Statelful operation |
|---|
// example: finding max.
Integer result = Arrays.asList(2,3,4,5,6)
.stream()
.reduce(Integer.MIN_VALUE, (Integer resultUntilNow, Integer element)->
Math.max(resultUntilNow,element));
System.out.println(result);
// output:
// 6<U> U reduce(U identity, BiFunction<U,? super T,U> accumulator, BinaryOperator<U> combiner) |
|---|
| In a synchronized execution running, the reduce operation uses the identity value only once as an initial temporary result. The identity type can be different from the elements in the calling stream. The calculating is the same as the first overload we saw. In case of parallel running, it will work as described above. In case the calling stream as no elements, return the identity value as a result. |
| Terminal operation |
|---|
| Statelful operation |
|---|
// example: joining all elements
String result = Arrays.asList(2,3,4,5,6)
.stream()
.reduce("", (String resultUntilNow, Integer element)-> resultUntilNow+element,
(String partialResult1,String partialResult2)->partialResult1.concat(partialResult2));
System.out.println(result);
// output:
// 23456© Stav Alfi, 2018. Unauthorized use or duplication of this material without express and written permission from the owner is strictly prohibited. Excerpts and links may be used, provided that full and clear credit is given to Stav Alfi with appropriate and specific direction to the original content.
Creative Commons License "Streams In Depth" by Stav Alfi is licensed under a Creative Commons Attribution-NonCommercial 4.0 International License. Based on a work at https://gist.github.com/stavalfi/003cfe716051029eee983300895eb830.



